ГОСТы >
01.040.13 Охрана окружающей среды, защита человека от воздействия окружающей среды. Безопасность (Словари) >
ГОСТ Р 12.1.009-2009
ГОСТ Р 12.1.009-2009 Система стандартов безопасности труда. Электробезопасность. Термины и определения
ГОСТ Р
Скачать ГОСТ в PDF или DOC бесплатно
Основная информация
Обозначение:
ГОСТ Р 12.1.009-2009
Статус:
Отменен
Тип:
ГОСТ Р
Название русское:
Система стандартов безопасности труда. Электробезопасность. Термины и определения
Название английское:
Occupational safety standards system. Electrical safety. Terms and definitions
Даты и сроки
Дата издания:
01-14-19
Дата введения в действие:
01-01-11
Дата завершения срока действия:
01-01-19
Применение и описание
Область и условия применения:
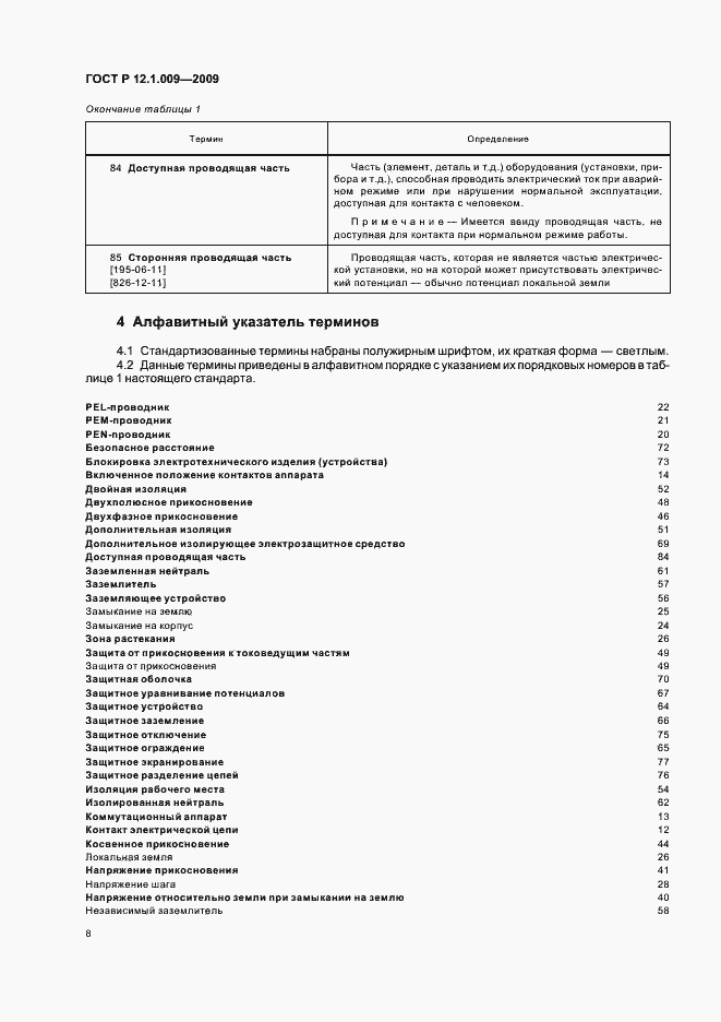
Настоящий стандарт устанавливает термины и определения основных понятий в области электробезопасности применяемые в науке, технике и производстве. Термины, установленные настоящим стандартом, обязательны для применения в документации всех видов, учебниках, учебных пособиях, научно-технической и справочной литературе
Связи и замены
Заменяющий:
-
Описание стандарта
ГОСТ Р 12.1.009-2009 Система стандартов безопасности труда. Электробезопасность. Термины и определения
Страницы стандарта















