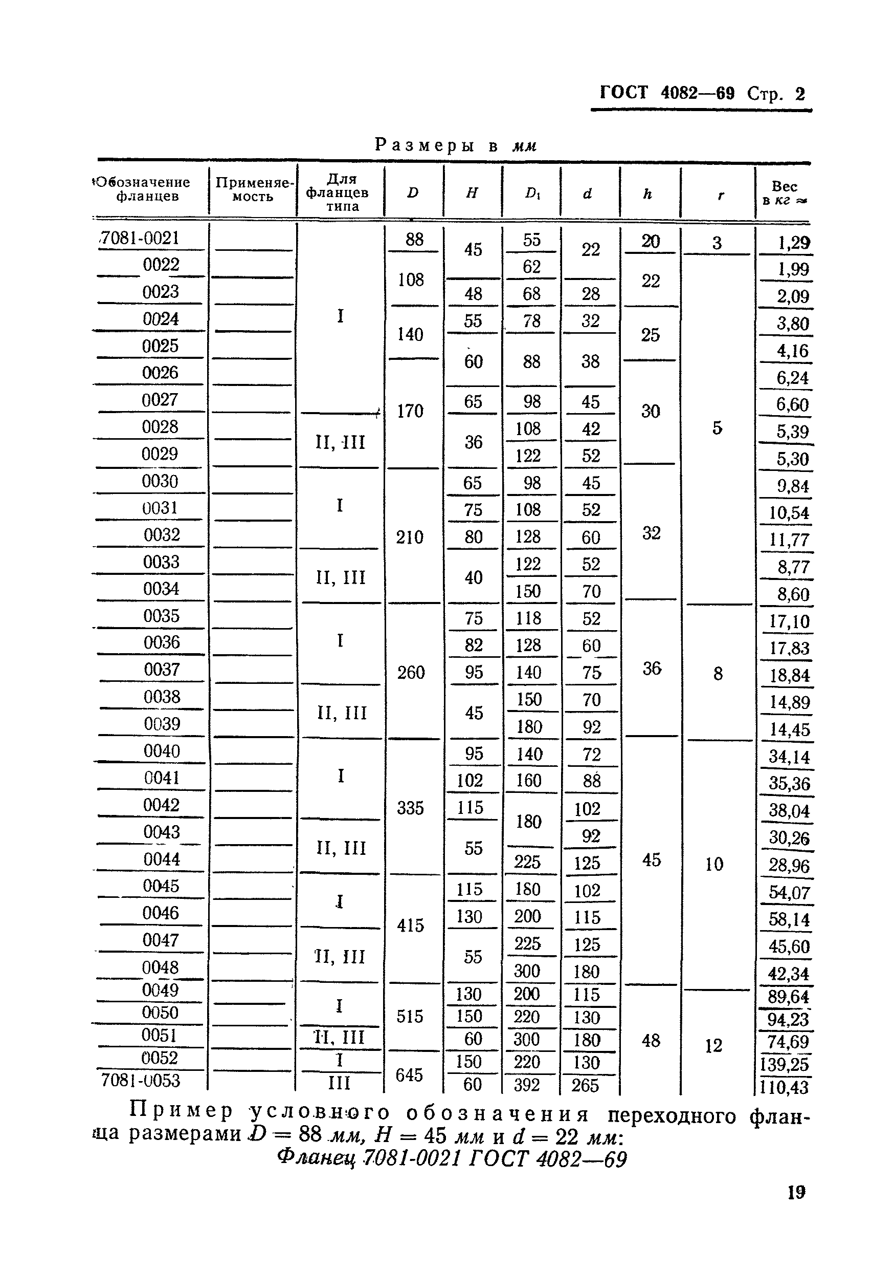
ГОСТ 4082-69 Фланцы переходные для станочных приспособлений (заготовки). Конструкция и размеры
ГОСТ
Скачать ГОСТ в PDF или DOC бесплатно
Основная информация
Обозначение:
ГОСТ 4082-69
Статус:
утратил силу в РФ
Тип:
ГОСТ
Название русское:
Фланцы переходные для станочных приспособлений (заготовки). Конструкция и размеры
Даты и сроки
Дата введения в действие:
01-01-70
Дата завершения срока действия:
01-01-88
Связи и замены
Заменяющий:
-
Описание стандарта
ГОСТ 4082-69 Фланцы переходные для станочных приспособлений (заготовки). Конструкция и размеры
Страницы стандарта








