ГОСТы >
01.040.01 Общие положения. Терминология. Стандартизация. Документация (Словари) >
ГОСТ Р 57105-2016
ГОСТ Р 57105-2016 Интегрированная логистическая поддержка. Анализ логистической поддержки. Требования к структуре и составу базы данных
ГОСТ Р
Скачать ГОСТ в PDF или DOC бесплатно
Основная информация
Обозначение:
ГОСТ Р 57105-2016
Статус:
Действует
Тип:
ГОСТ Р
Название русское:
Интегрированная логистическая поддержка. Анализ логистической поддержки. Требования к структуре и составу базы данных
Название английское:
Integrated Logistic Support. Logistic Support Analysis. Requirements for Database Structure and Content
Даты и сроки
Дата издания:
12-04-18
Дата введения в действие:
07-01-17
Дата завершения срока действия:
-
Применение и описание
Область и условия применения:
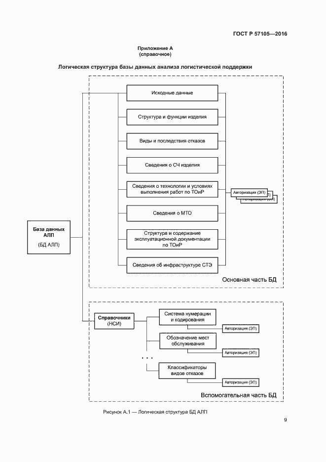
Настоящий стандарт устанавливает требования к структуре и составу базы данных анализа логистической поддержки процессов технической эксплуатации изделий и других объектов техники (далее - изделий), а также общие требования к ее выполнению в информационных системах интегрированной логистической поддержки промышленной продукции. Настоящий стандарт предназначен для применения при разработке интегрированных систем информационной поддержки процессов жизненного цикла продукции и обеспечении информационного взаимодействия между участниками этих процессов. На основе настоящего стандарта допускается, при необходимости, разрабатывать стандарты, устанавливающие дополнительные требования к составу баз данных анализа логистической поддержки процессов технической эксплуатации конкретных видов изделий с учетом их специфики
Связи и замены
Заменяющий:
-
Изменения и переиздания
Список изменений:
№0 от (рег. ) «Дата введения перенесена»
Описание стандарта
ГОСТ Р 57105-2016 Интегрированная логистическая поддержка. Анализ логистической поддержки. Требования к структуре и составу базы данных
Страницы стандарта















Приложение №1: Поправка к ГОСТ Р 57105-2016 Обозначение: Поправка к ГОСТ Р 57105-2016 Дата введения в действие: 30.08.2017
