ГОСТ Р 54830-2011 Системы охранные телевизионные. Компрессия оцифрованных видеоданных. Общие технические требования и методы оценки алгоритмов
ГОСТ Р
Скачать ГОСТ в PDF или DOC бесплатно
Основная информация
Обозначение:
ГОСТ Р 54830-2011
Статус:
Действует
Тип:
ГОСТ Р
Название русское:
Системы охранные телевизионные. Компрессия оцифрованных видеоданных. Общие технические требования и методы оценки алгоритмов
Название английское:
Video surveillance systems. Video data compression. General technical requirements and methods of algorithm evaluation
Даты и сроки
Дата издания:
07-29-19
Дата введения в действие:
09-01-12
Дата завершения срока действия:
-
Применение и описание
Область и условия применения:
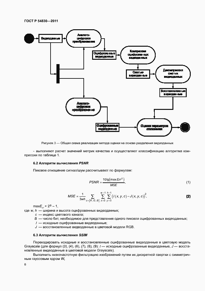
Настоящий стандарт распространяется на цифровые системы охранные телевизионные и устанавливает общие технические требования и методы оценки алгоритмов компрессии оцифрованных видеоданных в ЦСОТ. Настоящий стандарт применяют к алгоритмам компрессии (декомпрессии), независимо от их реализации на аппаратном уровне. Настоящий стандарт устанавливает классификацию алгоритмов компрессии (декомпрессии) оцифрованных видеоданных. Настоящий стандарт устанавливает методику сравнения различных алгоритмов компрессии и декомпрессии оцифрованных видеоданных. Настоящий стандарт применяют совместно со стандартами ГОСТ Р МЭК 60065, ГОСТ Р 51558, ГОСТ 13699, ГОСТ 15971
Связи и замены
Заменяющий:
-
Описание стандарта
ГОСТ Р 54830-2011 Системы охранные телевизионные. Компрессия оцифрованных видеоданных. Общие технические требования и методы оценки алгоритмов
Страницы стандарта














