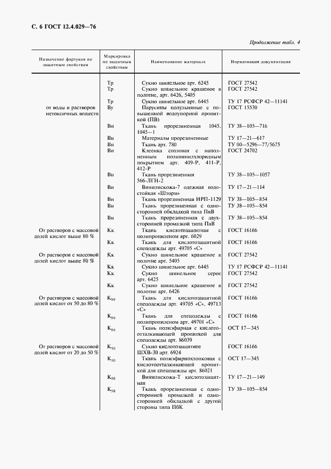
ГОСТ 12.4.029-76 Фартуки специальные. Технические условия
ГОСТ
Скачать ГОСТ в PDF или DOC бесплатно
Основная информация
Обозначение:
ГОСТ 12.4.029-76
Статус:
Действует
Тип:
ГОСТ
Название русское:
Фартуки специальные. Технические условия
Название английское:
Special aprons. Specifications
Даты и сроки
Дата издания:
08-01-06
Дата введения в действие:
01-01-78
Дата завершения срока действия:
-
Применение и описание
Область и условия применения:
Настоящий стандарт распространяется на фартуки, предназначенные в качестве спецодежды для защиты работающих от вредных производственных факторов
Связи и замены
Заменяющий:
-
Взамен:
ГОСТ 12845-67
Изменения и переиздания
Список изменений:
№1 от (рег. ) «Срок действия продлен» №2 от (рег. ) «Срок действия продлен» №3 от (рег. ) «Поправка»
Описание стандарта
ГОСТ 12.4.029-76 Фартуки специальные. Технические условия
Страницы стандарта











