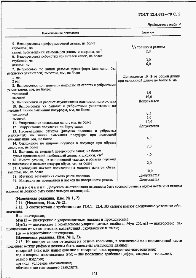
ГОСТ 12.4.072-79 Система стандартов безопасности труда. Сапоги специальные резиновые формовые, защищающие от воды, нефтяных масел и механических воздействий. Технические условия
ГОСТ
Скачать ГОСТ в PDF или DOC бесплатно
Основная информация
Обозначение:
ГОСТ 12.4.072-79
Статус:
Действует
Тип:
ГОСТ
Название русское:
Система стандартов безопасности труда. Сапоги специальные резиновые формовые, защищающие от воды, нефтяных масел и механических воздействий. Технические условия
Название английское:
Occupational safety standards system. Moulded resistant to water, petroleum oils and mechanical action rubber boots for special purposes. Specifications
Даты и сроки
Дата издания:
07-01-01
Дата введения в действие:
06-30-80
Дата завершения срока действия:
-
Применение и описание
Область и условия применения:
Настоящий стандарт распространяется на формовые резиновые сапоги, предназначенные для защиты ног от шахтных вод, нефтяных масел, механических воздействий (энергией 15 Дж и 25 Дж), скольжения и пыли
Связи и замены
Заменяющий:
-
Взамен:
ГОСТ 11514-73
Изменения и переиздания
Список изменений:
№1 от (рег. ) «Срок действия продлен» №2 от (рег. ) «Срок действия продлен» №3 от (рег. ) «Срок действия продлен»
Описание стандарта
ГОСТ 12.4.072-79 Система стандартов безопасности труда. Сапоги специальные резиновые формовые, защищающие от воды, нефтяных масел и механических воздействий. Технические условия
Страницы стандарта









