ГОСТ 12.4.103-83 Система стандартов безопасности труда. Одежда специальная защитная, средства индивидуальной защиты ног и рук. Классификация
ГОСТ
Скачать ГОСТ в PDF или DOC бесплатно
Основная информация
Обозначение:
ГОСТ 12.4.103-83
Статус:
Заменен
Тип:
ГОСТ
Название русское:
Система стандартов безопасности труда. Одежда специальная защитная, средства индивидуальной защиты ног и рук. Классификация
Название английское:
Occupational safety standards system. Special protective clothes, personal means of hand and legs protections. Classification
Даты и сроки
Дата издания:
08-01-02
Дата введения в действие:
06-30-84
Дата завершения срока действия:
10-01-22
Применение и описание
Область и условия применения:
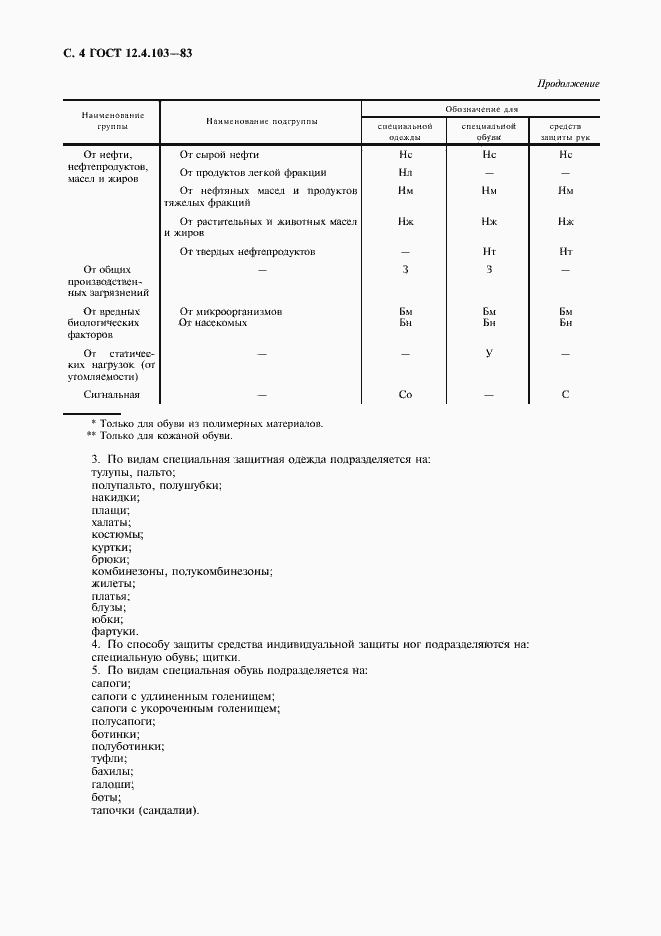
Настоящий стандарт распространяется на специальную защитную одежду, средства защиты рук и ног. Стандарт не распространяется на защитные кремы и мази
Связи и замены
Заменяющий:
ГОСТ 12.4.103-2020
Взамен:
ГОСТ 12.4.103-80
Описание стандарта
ГОСТ 12.4.103-83 Система стандартов безопасности труда. Одежда специальная защитная, средства индивидуальной защиты ног и рук. Классификация
Страницы стандарта






