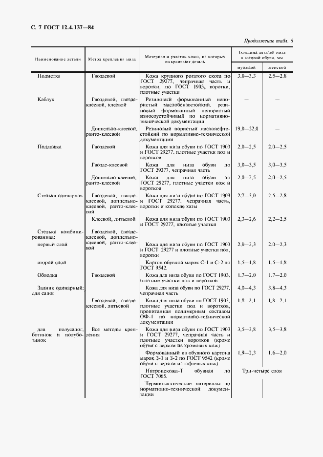
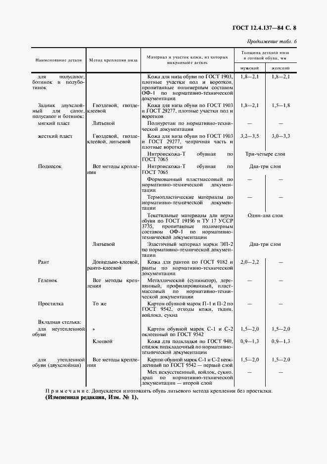
ГОСТ 12.4.137-84 Обувь специальная кожаная для защиты от нефти, нефтепродуктов, кислот, щелочей, нетоксичной и взрывоопасной пыли. Технические условия
ГОСТ
Скачать ГОСТ в PDF или DOC бесплатно
Основная информация
Обозначение:
ГОСТ 12.4.137-84
Статус:
Заменен
Тип:
ГОСТ
Название русское:
Обувь специальная кожаная для защиты от нефти, нефтепродуктов, кислот, щелочей, нетоксичной и взрывоопасной пыли. Технические условия
Название английское:
Safety leather shoes for protection from petroleum, oil acid, alkaline, non-toxic and explosive dust. Specifications
Даты и сроки
Дата издания:
09-01-02
Дата введения в действие:
06-30-85
Дата завершения срока действия:
09-01-14
Применение и описание
Область и условия применения:
Настоящий стандарт распространяется на специальную кожаную обувь, предназначенную для защиты работающих от сырой нефти, нефтяных масел и нефтепродуктов тяжелых фракций, кислот и щелочей концентрации до 20 %, нетоксичной и взрывоопасной пыли
Связи и замены
Заменяющий:
ГОСТ 12.4.137-2001
Взамен:
ГОСТ 5782-75
Изменения и переиздания
Список изменений:
№1 от (рег. ) «Поправка» №2 от (рег. ) «Срок действия продлен»
Описание стандарта
ГОСТ 12.4.137-84 Обувь специальная кожаная для защиты от нефти, нефтепродуктов, кислот, щелочей, нетоксичной и взрывоопасной пыли. Технические условия
Страницы стандарта











