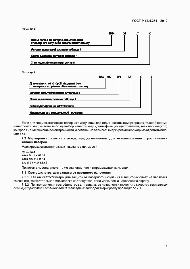
ГОСТ Р 12.4.254-2010 Система стандартов безопасности труда. Средства индивидуальной защиты глаз. Очки для защиты от лазерного излучения. Общие технические требования и методы испытаний
ГОСТ Р
Скачать ГОСТ в PDF или DOC бесплатно
Основная информация
Обозначение:
ГОСТ Р 12.4.254-2010
Статус:
Отменен
Тип:
ГОСТ Р
Название русское:
Система стандартов безопасности труда. Средства индивидуальной защиты глаз. Очки для защиты от лазерного излучения. Общие технические требования и методы испытаний
Название английское:
Occupational safety standards system. Personal eye-protection. Filters and eye-protection against laser radiation. General technical requirements and test methods
Даты и сроки
Дата издания:
10-06-11
Дата введения в действие:
01-01-12
Дата завершения срока действия:
10-01-17
Применение и описание
Область и условия применения:
Настоящий стандарт распространяется на светофильтры и очки для защиты от лазерного излучения, в том числе, включая излучение светоизлучающих диодов, в диапазоне спектра от 180 нм до 1000 мкм. Настоящий стандарт устанавливает общие технические требования и методы испытаний защитных очков. Настоящий стандарт не распространяется на защитные очки, применяемые для юстировки лазеров и лазерных устройств
Связи и замены
Заменяющий:
-
Изменения и переиздания
Список изменений:
№0 от (рег. ) «Текстовое изменение; Изменено заглавие»
Описание стандарта
ГОСТ Р 12.4.254-2010 Система стандартов безопасности труда. Средства индивидуальной защиты глаз. Очки для защиты от лазерного излучения. Общие технические требования и методы испытаний
Страницы стандарта























