ГОСТ 8.430-88 Государственная система обеспечения единства измерений. Обозначения единиц физических величин для печатающих устройств с ограниченным набором знаков
ГОСТ
Скачать ГОСТ в PDF или DOC бесплатно
Основная информация
Обозначение:
ГОСТ 8.430-88
Статус:
Действует
Тип:
ГОСТ
Название русское:
Государственная система обеспечения единства измерений. Обозначения единиц физических величин для печатающих устройств с ограниченным набором знаков
Название английское:
State system for ensuring the uniformity of measurements. Symbols for units of physical quantities to be used inprinting devices with a limited set of signs
Даты и сроки
Дата издания:
07-26-88
Дата введения в действие:
01-01-89
Дата завершения срока действия:
-
Применение и описание
Область и условия применения:
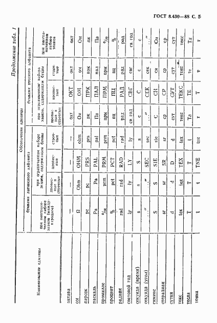
Настоящий стандарт устанавливает обозначения единиц физических величин, установленных ГОСТ 8.417-81, и правила их применения для печатающих устройств с ограниченным набором знаков электронных вычислительных машин, систем обработки информации и автоматизированного проектирования
Связи и замены
Заменяющий:
-
Взамен:
ГОСТ 8.430-81
Описание стандарта
ГОСТ 8.430-88 Государственная система обеспечения единства измерений. Обозначения единиц физических величин для печатающих устройств с ограниченным набором знаков
Страницы стандарта










