ГОСТ 8.508-84 Государственная система обеспечения единства измерений. Метрологические характеристики средств измерений и точностные характеристики средств автоматизации ГСП. Общие методы оценки и контроля
ГОСТ
Скачать ГОСТ в PDF или DOC бесплатно
Основная информация
Обозначение:
ГОСТ 8.508-84
Статус:
Действует
Тип:
ГОСТ
Название русское:
Государственная система обеспечения единства измерений. Метрологические характеристики средств измерений и точностные характеристики средств автоматизации ГСП. Общие методы оценки и контроля
Название английское:
State system for ensuring the uniformity of measurements. Metrological characteristics of measurements means and precision characteristics of automation means. General methods of estimate and control
Даты и сроки
Дата издания:
11-01-02
Дата введения в действие:
06-30-85
Дата завершения срока действия:
-
Применение и описание
Область и условия применения:
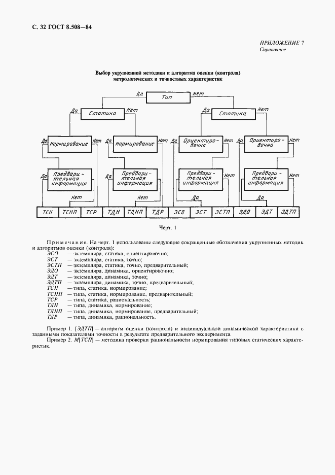
Настоящий стандарт распространяется на изделия Государственной системы промышленных приборов и средств автоматизации (ГСП) по ГОСТ 12997-76, для которых нормируют метрологические или точностные характеристики по ГОСТ 23222-78, и устанавливает общие методы оценки и контроля метрологических характеристик средств измерений и точностных характеристик средств автоматизации ГСП, предназначенные для регламентации в нормативно-технической документации (методиках, программах, конструкторской и технологической документации) на стадиях разработки и изготовления изделий
Связи и замены
Заменяющий:
-
Описание стандарта
ГОСТ 8.508-84 Государственная система обеспечения единства измерений. Метрологические характеристики средств измерений и точностные характеристики средств автоматизации ГСП. Общие методы оценки и контроля
Страницы стандарта



































