ГОСТ 8.578-2002 Государственная система обеспечения единства измерений. Государственная поверочная схема для средств измерений содержания компонентов в газовых средах
ГОСТ
Скачать ГОСТ в PDF или DOC бесплатно
Основная информация
Обозначение:
ГОСТ 8.578-2002
Статус:
Заменен
Тип:
ГОСТ
Название русское:
Государственная система обеспечения единства измерений. Государственная поверочная схема для средств измерений содержания компонентов в газовых средах
Название английское:
State system for ensuring the uniformity of measurements. State verification schedule for instruments measuring the content of components in gaseous media
Даты и сроки
Дата регистрации:
03-05-02
Дата издания:
06-26-02
Дата введения в действие:
11-01-02
Дата завершения срока действия:
03-01-09
Применение и описание
Область и условия применения:
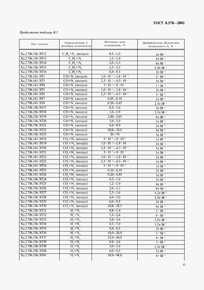
Настоящий стандарт распространяется на государственную поверочную схему для средств измерений содержания компонентов в газовых средах и устанавливает порядок передачи размеров единиц: молярной доли - процент (%), массовой концентрации - миллиграмм на кубический метр (мг/м куб.), массовой доли - процент (%) и объемной доли компонента - процент (%) - от государственного первичного эталона с помощью рабочих эталонов рабочим средствам измерений с указанием погрешностей и основных методов поверки
Связи и замены
Заменяющий:
ГОСТ 8.578-2008
Взамен:
МИ 2001-89
Описание стандарта
ГОСТ 8.578-2002 Государственная система обеспечения единства измерений. Государственная поверочная схема для средств измерений содержания компонентов в газовых средах
Страницы стандарта




















