ГОСТ 1759.0-87 Болты, винты, шпильки и гайки. Технические условия
ГОСТ
Скачать ГОСТ в PDF или DOC бесплатно
Основная информация
Обозначение:
ГОСТ 1759.0-87
Статус:
Действует
Тип:
ГОСТ
Название русское:
Болты, винты, шпильки и гайки. Технические условия
Название английское:
Bolts, screws, studs and nuts. Specifications
Даты и сроки
Дата издания:
08-01-06
Дата введения в действие:
01-01-89
Дата завершения срока действия:
-
Применение и описание
Область и условия применения:
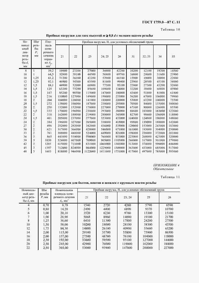
Настоящий стандарт распространяется на болты, винты, шпильки и гайки с метрической резьбой по ГОСТ 24705 диаметром от 1 до 48 мм
Связи и замены
Заменяющий:
-
Взамен в части:
ГОСТ 1759-70 в части технических требований и маркировки крепежных изделий
Изменения и переиздания
Список изменений:
№0 от (рег. ) «Поправка к изменению» №0 от (рег. ) «Поправка к изменению» №0 от (рег. ) «Поправка к изменению» №0 от (рег. ) «Восстановлен на территории РФ» №0 от (рег. ) «Восстановлен на территории РФ» №1 от (рег. ) «Срок действия продлен»
Описание стандарта
ГОСТ 1759.0-87 Болты, винты, шпильки и гайки. Технические условия
Страницы стандарта














