ГОСТ 20821-75 Подшипники шариковые упорно-радиальные двухрядные с углом контакта 60°. Технические условия
ГОСТ
Скачать ГОСТ в PDF или DOC бесплатно
Основная информация
Обозначение:
ГОСТ 20821-75
Статус:
Действует
Тип:
ГОСТ
Название русское:
Подшипники шариковые упорно-радиальные двухрядные с углом контакта 60°. Технические условия
Название английское:
Angular-contact double-row ball bearings with contact angle 60°. Specifications
Даты и сроки
Дата издания:
09-01-84
Дата введения в действие:
06-30-76
Дата завершения срока действия:
-
Применение и описание
Область и условия применения:
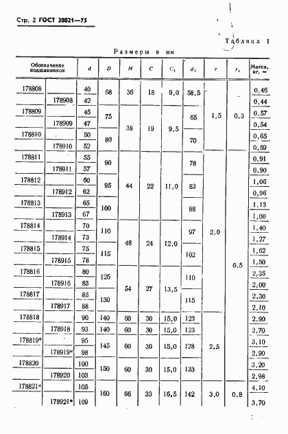
Настоящий стандарт распространяется на упорно-радиальные шариковые двухрядные подшипники с углом контакта 60 град., предназначенные для восприятия осевых нагрузок в шпиндельных узлах металлорежущих станков
Связи и замены
Заменяющий:
-
Изменения и переиздания
Список изменений:
№0 от (рег. ) «Срок действия продлен» №1 от (рег. ) «Срок действия продлен» №2 от (рег. ) «Срок действия продлен»
Описание стандарта
ГОСТ 20821-75 Подшипники шариковые упорно-радиальные двухрядные с углом контакта 60°. Технические условия
Страницы стандарта










