ГОСТ 24310-80 Подшипники качения. Подшипники радиальные роликовые игольчатые без колец. Технические условия
ГОСТ
Скачать ГОСТ в PDF или DOC бесплатно
Основная информация
Обозначение:
ГОСТ 24310-80
Статус:
Действует
Тип:
ГОСТ
Название русское:
Подшипники качения. Подшипники радиальные роликовые игольчатые без колец. Технические условия
Название английское:
Rolling bearings. Needle roller radial cage assembly. Specifications
Даты и сроки
Дата издания:
11-01-89
Дата введения в действие:
01-01-81
Дата завершения срока действия:
-
Применение и описание
Область и условия применения:
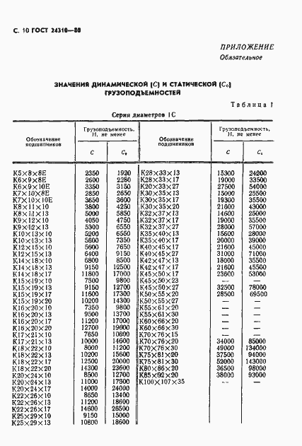
Настоящий стандарт распространяется на однорядные и двухрядные игольчатые роликовые радиальные подшипники без колец
Связи и замены
Заменяющий:
-
Изменения и переиздания
Список изменений:
№1 от (рег. ) «Срок действия продлен» №2 от (рег. ) «Поправка»
Описание стандарта
ГОСТ 24310-80 Подшипники качения. Подшипники радиальные роликовые игольчатые без колец. Технические условия
Страницы стандарта














