ГОСТ 13766-86 Пружины винтовые цилиндрические сжатия и растяжения I класса, разряда 1 из стали круглого сечения. Основные параметры витков
ГОСТ
Скачать ГОСТ в PDF или DOC бесплатно
Основная информация
Обозначение:
ГОСТ 13766-86
Статус:
Действует
Тип:
ГОСТ
Название русское:
Пружины винтовые цилиндрические сжатия и растяжения I класса, разряда 1 из стали круглого сечения. Основные параметры витков
Название английское:
Cylindrical helical compression (tension) springs of I class and of 1 category made of round steel. Main parameters of coils
Даты и сроки
Дата издания:
08-01-99
Дата введения в действие:
06-30-88
Дата завершения срока действия:
-
Применение и описание
Область и условия применения:
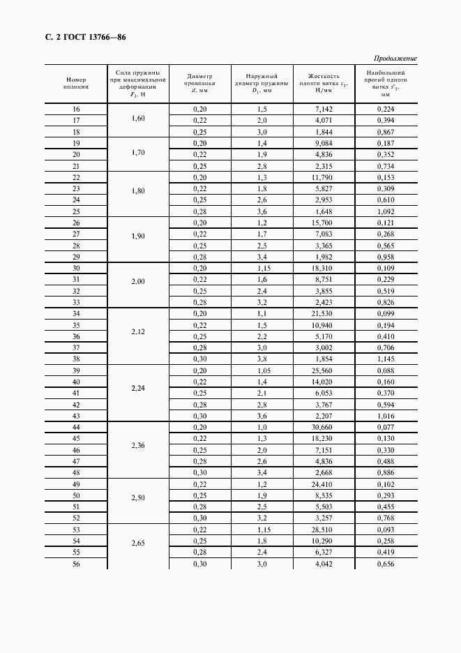
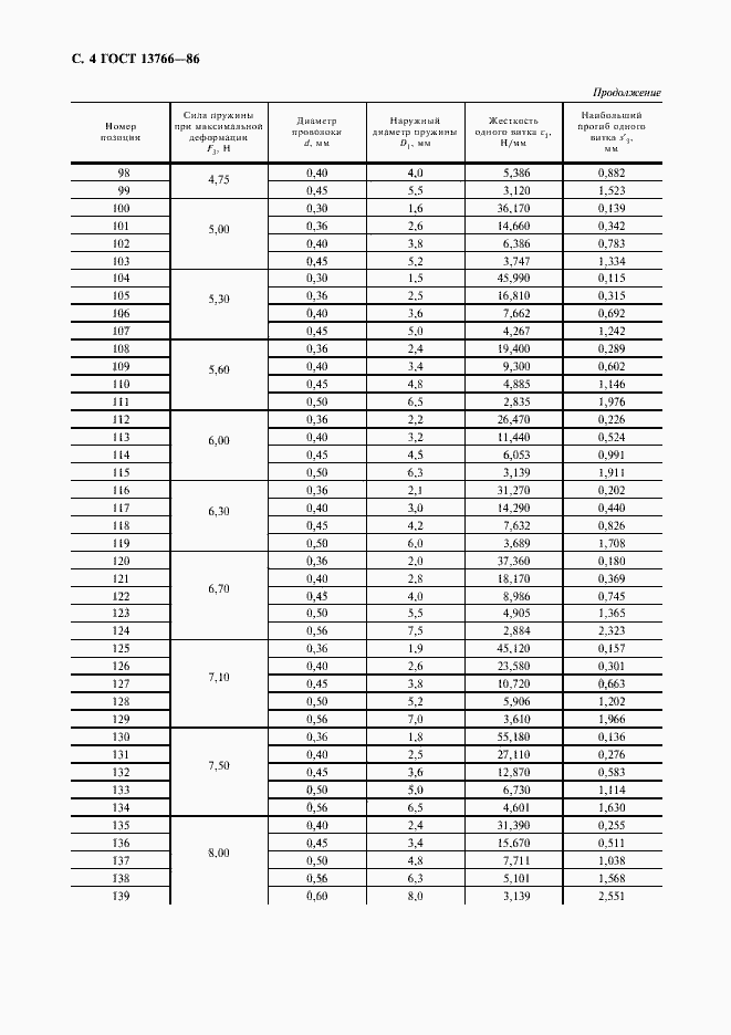
Настоящий стандарт распространяется на пружины сжатия и растяжения 1 класса, раэряда 1 с силами при максимальной деформации пружин от 1,00 до 850 Н
Связи и замены
Заменяющий:
-
Взамен:
ГОСТ 13766-68
Изменения и переиздания
Список изменений:
№1 от (рег. ) «Срок действия продлен»
Описание стандарта
ГОСТ 13766-86 Пружины винтовые цилиндрические сжатия и растяжения I класса, разряда 1 из стали круглого сечения. Основные параметры витков
Страницы стандарта














