ГОСТ 13773-86 Пружины винтовые цилиндрические сжатия II класса, разряда 4 из стали круглого сечения. Основные параметры витков
ГОСТ
Скачать ГОСТ в PDF или DOC бесплатно
Основная информация
Обозначение:
ГОСТ 13773-86
Статус:
Действует
Тип:
ГОСТ
Название русское:
Пружины винтовые цилиндрические сжатия II класса, разряда 4 из стали круглого сечения. Основные параметры витков
Название английское:
Cylindrical helical compression springs of II class and of 4 category made of round steel. Main parameters of coils
Даты и сроки
Дата издания:
04-01-03
Дата введения в действие:
06-30-88
Дата завершения срока действия:
-
Применение и описание
Область и условия применения:
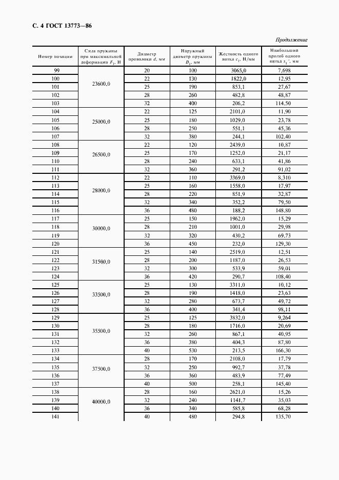
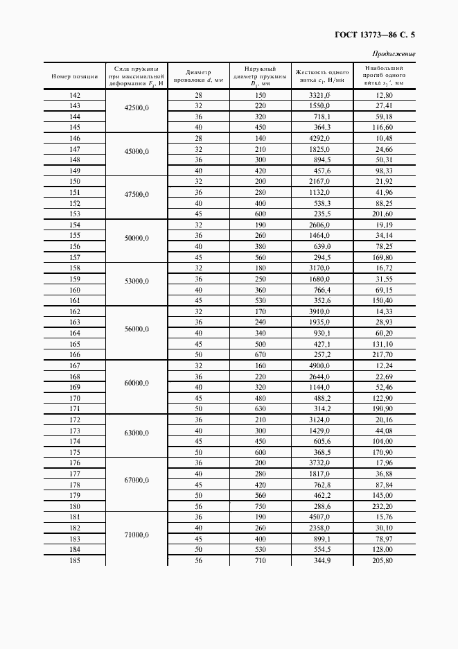
Настоящий стандарт распространяется на пружины сжатия II класса, разряда 4 с силами при максимальной деформации пружины от 4500 до 280000 Н
Связи и замены
Заменяющий:
-
Взамен:
ГОСТ 13773-68
Изменения и переиздания
Список изменений:
№1 от (рег. ) «Срок действия продлен»
Описание стандарта
ГОСТ 13773-86 Пружины винтовые цилиндрические сжатия II класса, разряда 4 из стали круглого сечения. Основные параметры витков
Страницы стандарта









