ГОСТ 15763-2005 Соединения трубопроводов резьбовые и фланцевые на PN (Py) до 63 МПа (до около 630 кгс/см кв.). Общие технические условия
ГОСТ
Скачать ГОСТ в PDF или DOC бесплатно
Основная информация
Обозначение:
ГОСТ 15763-2005
Статус:
Действует
Тип:
ГОСТ
Название русское:
Соединения трубопроводов резьбовые и фланцевые на PN (Py) до 63 МПа (до около 630 кгс/см кв.). Общие технические условия
Название английское:
Threaded and flange pipe connections for PN to 63 MPa (to 630 kgf/sq sm). General specifications
Даты и сроки
Дата регистрации:
09-21-05
Дата издания:
10-27-08
Дата введения в действие:
01-01-09
Применение и описание
Область и условия применения:
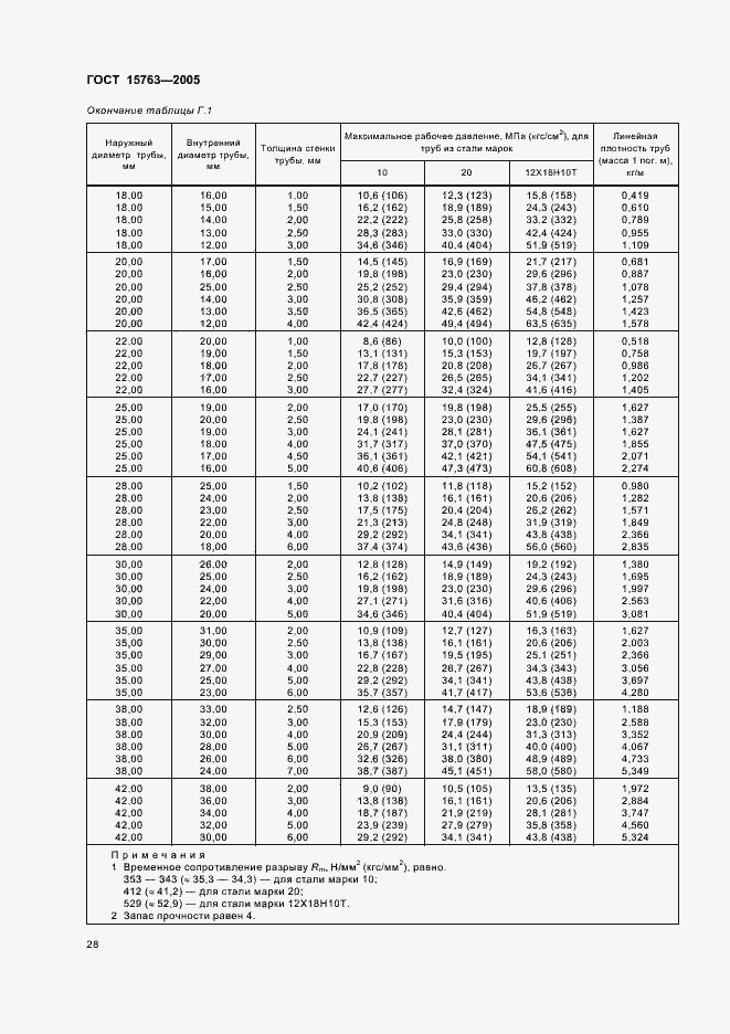
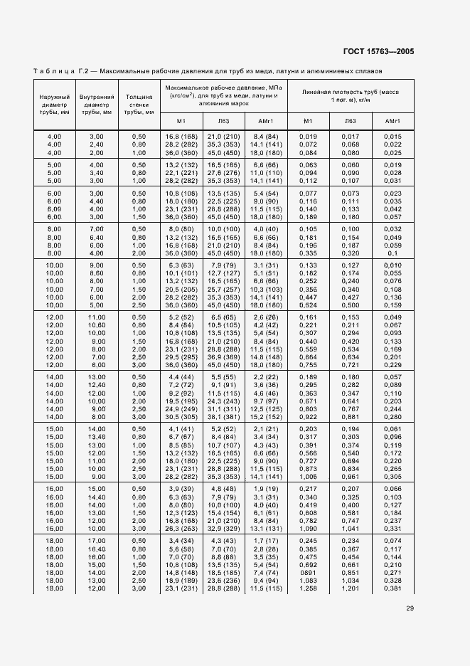
Настоящий стандарт распространяется на металлические резьбовые и фланцевые с приварным ниппелем соединения трубопроводов общемашиностроительного применения для гидравлических и пневматических систем и детали данных соединений трубопроводов, работающие в условиях неагрессивных сред при температуре окружающей и рабочей среды от минус 50 град. С до плюс 120 град. С и номинальном (условном) давлении до 63 МПа (до около 630 кгс/см кв.). Стандарт не распространяется на фланцевые соединения по ГОСТ 9399, ГОСТ 12815 - ГОСТ 12822, ГОСТ 22512
Связи и замены
Взамен:
ГОСТ 15763-91
Изменения и переиздания
Список изменений:
№0 от (рег. ) «Дата введения перенесена»
Описание стандарта
ГОСТ 15763-2005 Соединения трубопроводов резьбовые и фланцевые на PN (Py) до 63 МПа (до около 630 кгс/см кв.). Общие технические условия
Страницы стандарта






































