ГОСТ Р 54158-2010 Трубки из меди и медных сплавов тонкостенные. Технические условия
ГОСТ Р
Скачать ГОСТ в PDF или DOC бесплатно
Основная информация
Обозначение:
ГОСТ Р 54158-2010
Статус:
Действует
Тип:
ГОСТ Р
Название русское:
Трубки из меди и медных сплавов тонкостенные. Технические условия
Название английское:
Thin-walled tubes from copper and copper alloys. Specifications
Даты и сроки
Дата издания:
04-27-11
Дата введения в действие:
08-01-11
Дата завершения срока действия:
-
Применение и описание
Область и условия применения:
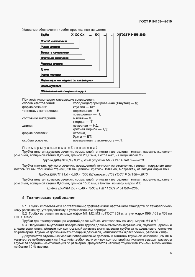
Настоящий стандарт распространяется на тянутые тонкостенные трубки круглого сечения из меди и медных сплавов (латуни), применяемые в различных отраслях промышленности. Стандарт устанавливает сортамент, технические требования, правила приемки, методы контроля и испытаний, маркировку, упаковку, транспортирование и хранение труб
Связи и замены
Заменяющий:
-
Изменения и переиздания
Список изменений:
№0 от (рег. ) «Дата введения перенесена»
Описание стандарта
ГОСТ Р 54158-2010 Трубки из меди и медных сплавов тонкостенные. Технические условия
Страницы стандарта



















Приложение №1: Поправка к ГОСТ Р 54158-2010 Обозначение: Поправка к ГОСТ Р 54158-2010 Дата введения в действие: 29.07.2013
