ГОСТ 14700-69 Ножи, оснащенные твердым сплавом, для двух- и трехсторонних дисковых фрез. Конструкция и размеры
ГОСТ
Скачать ГОСТ в PDF или DOC бесплатно
Основная информация
Обозначение:
ГОСТ 14700-69
Статус:
Действует
Тип:
ГОСТ
Название русское:
Ножи, оснащенные твердым сплавом, для двух- и трехсторонних дисковых фрез. Конструкция и размеры
Название английское:
Carbide tipped blades for double- and three-side disk cutters. Construction and dimensions
Даты и сроки
Дата издания:
08-01-88
Дата введения в действие:
06-30-70
Дата завершения срока действия:
-
Применение и описание
Область и условия применения:
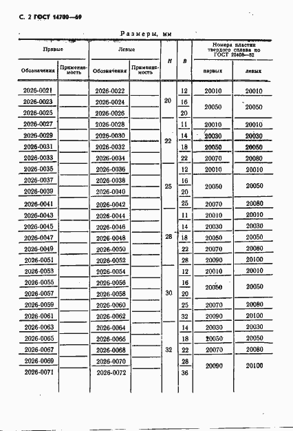
Настоящий стандарт устанавливает конструкцию и размеры ножей, оснащенных твердым сплавом, для двух- и трехсторонних дисковых фрез
Связи и замены
Заменяющий:
-
Взамен:
МН 1000-60
Взамен в части:
ГОСТ 9406-60, кроме клиньев
Изменения и переиздания
Список изменений:
№1 от (рег. ) «Срок действия продлен» №2 от (рег. ) «Срок действия продлен»
Описание стандарта
ГОСТ 14700-69 Ножи, оснащенные твердым сплавом, для двух- и трехсторонних дисковых фрез. Конструкция и размеры
Страницы стандарта









