ГОСТ 18219-90 Протяжки шпоночные с фасочными зубьями. Конструкция
ГОСТ
Скачать ГОСТ в PDF или DOC бесплатно
Основная информация
Обозначение:
ГОСТ 18219-90
Статус:
Действует
Тип:
ГОСТ
Название русское:
Протяжки шпоночные с фасочными зубьями. Конструкция
Название английское:
Flat teeth key broaches. Design
Даты и сроки
Дата издания:
12-19-90
Дата введения в действие:
01-01-91
Дата завершения срока действия:
-
Применение и описание
Область и условия применения:
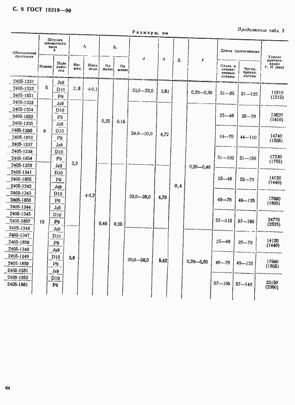
Настоящий стандарт распространяется на протяжки универсального назначения для обработки шпоночных пазов шириной от 3 до 10 мм по ГОСТ 23360, ГОСТ 10748, ГОСТ 24071 со снятыми заусенцами
Связи и замены
Заменяющий:
-
Взамен:
ГОСТ 18219-80
Описание стандарта
ГОСТ 18219-90 Протяжки шпоночные с фасочными зубьями. Конструкция
Страницы стандарта








