ГОСТ 20364-74 Протяжки круглые переменного резания диаметром от 10 до 13 мм. Конструкция и размеры
ГОСТ
Скачать ГОСТ в PDF или DOC бесплатно
Основная информация
Обозначение:
ГОСТ 20364-74
Статус:
Действует
Тип:
ГОСТ
Название русское:
Протяжки круглые переменного резания диаметром от 10 до 13 мм. Конструкция и размеры
Название английское:
Round broaches of variable cutting of diameters from 10 to 13 mm. Design and dimensions
Даты и сроки
Дата издания:
03-01-83
Дата введения в действие:
01-01-76
Дата завершения срока действия:
-
Применение и описание
Область и условия применения:
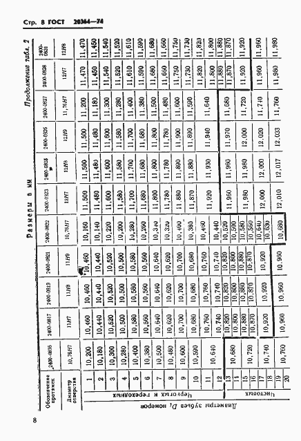
Настоящий стандарт распространяется на протяжки универсального назначения переменного резания, равной стойкости черновой и чистовой частей, предназначенные для обработки цилиндрических отверстий диаметром от 10 до 13 мм
Связи и замены
Заменяющий:
-
Взамен:
МН 4171-62
Изменения и переиздания
Список изменений:
№1 от (рег. ) «Срок действия продлен» №2 от (рег. ) «Срок действия продлен» №3 от (рег. ) «Срок действия продлен» №4 от (рег. ) «Срок действия продлен»
Описание стандарта
ГОСТ 20364-74 Протяжки круглые переменного резания диаметром от 10 до 13 мм. Конструкция и размеры
Страницы стандарта


















