ГОСТ 9539-72 Ролики резьбонакатные. Технические условия
ГОСТ
Скачать ГОСТ в PDF или DOC бесплатно
Основная информация
Обозначение:
ГОСТ 9539-72
Статус:
Действует
Тип:
ГОСТ
Название русское:
Ролики резьбонакатные. Технические условия
Название английское:
Thread rolls. Specifications
Даты и сроки
Дата издания:
11-01-93
Дата введения в действие:
01-01-74
Дата завершения срока действия:
-
Применение и описание
Область и условия применения:
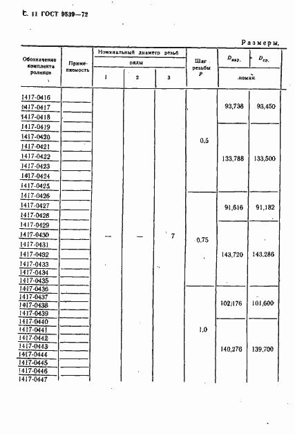
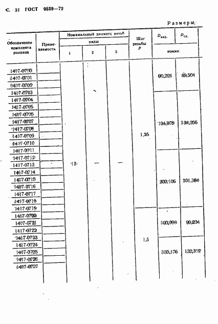
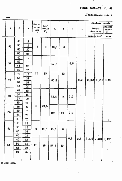
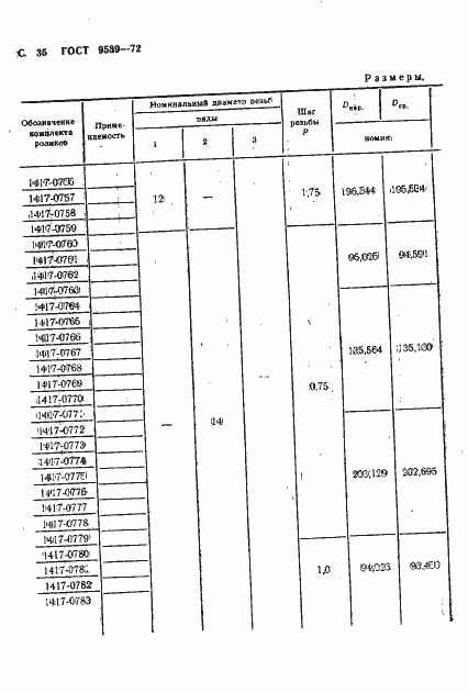
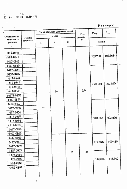
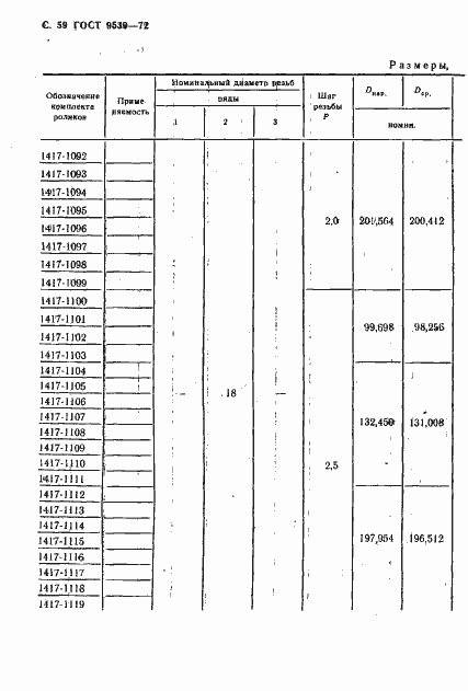
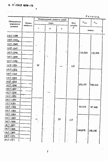
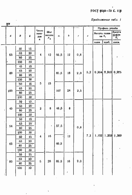
Настоящий стандарт распространяется на резьбонакатные ролики классов точности 1, 2 и 3 в комплекте из 2-х шт., предназначенные для изготовления резьб диаметром от 3 до 68 мм с шагом от 0,5 до 6,0 мм
Связи и замены
Заменяющий:
-
Взамен:
ГОСТ 9539-60
Изменения и переиздания
Список изменений:
№1 от (рег. ) «Срок действия продлен» №2 от (рег. ) «Срок действия продлен» №3 от (рег. ) «Срок действия продлен» №4 от (рег. ) «Срок действия продлен»
Описание стандарта
ГОСТ 9539-72 Ролики резьбонакатные. Технические условия
Страницы стандарта











































































































































