ГОСТ 19305-73 Изложницы центробежные с резьбовым хвостовиком и замками-щеколдами. Конструкция и размеры
ГОСТ
Скачать ГОСТ в PDF или DOC бесплатно
Основная информация
Обозначение:
ГОСТ 19305-73
Статус:
Утратил силу в РФ
Тип:
ГОСТ
Название русское:
Изложницы центробежные с резьбовым хвостовиком и замками-щеколдами. Конструкция и размеры
Название английское:
Centrifugal moulds with threaded shank and latch locks. Construction and dimensions
Даты и сроки
Дата издания:
08-01-00
Дата введения в действие:
01-01-75
Дата завершения срока действия:
01-01-00
Применение и описание
Область и условия применения:
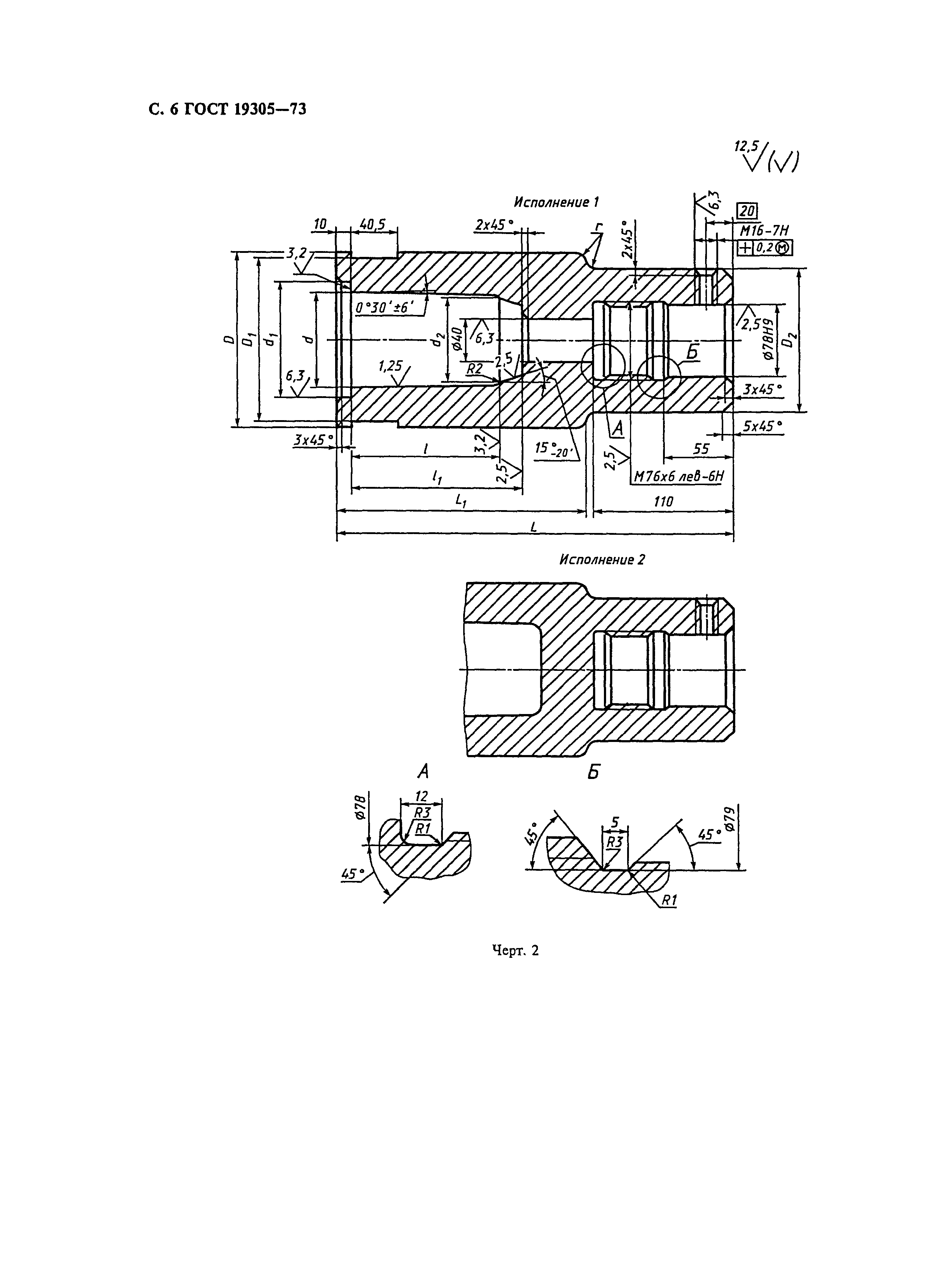
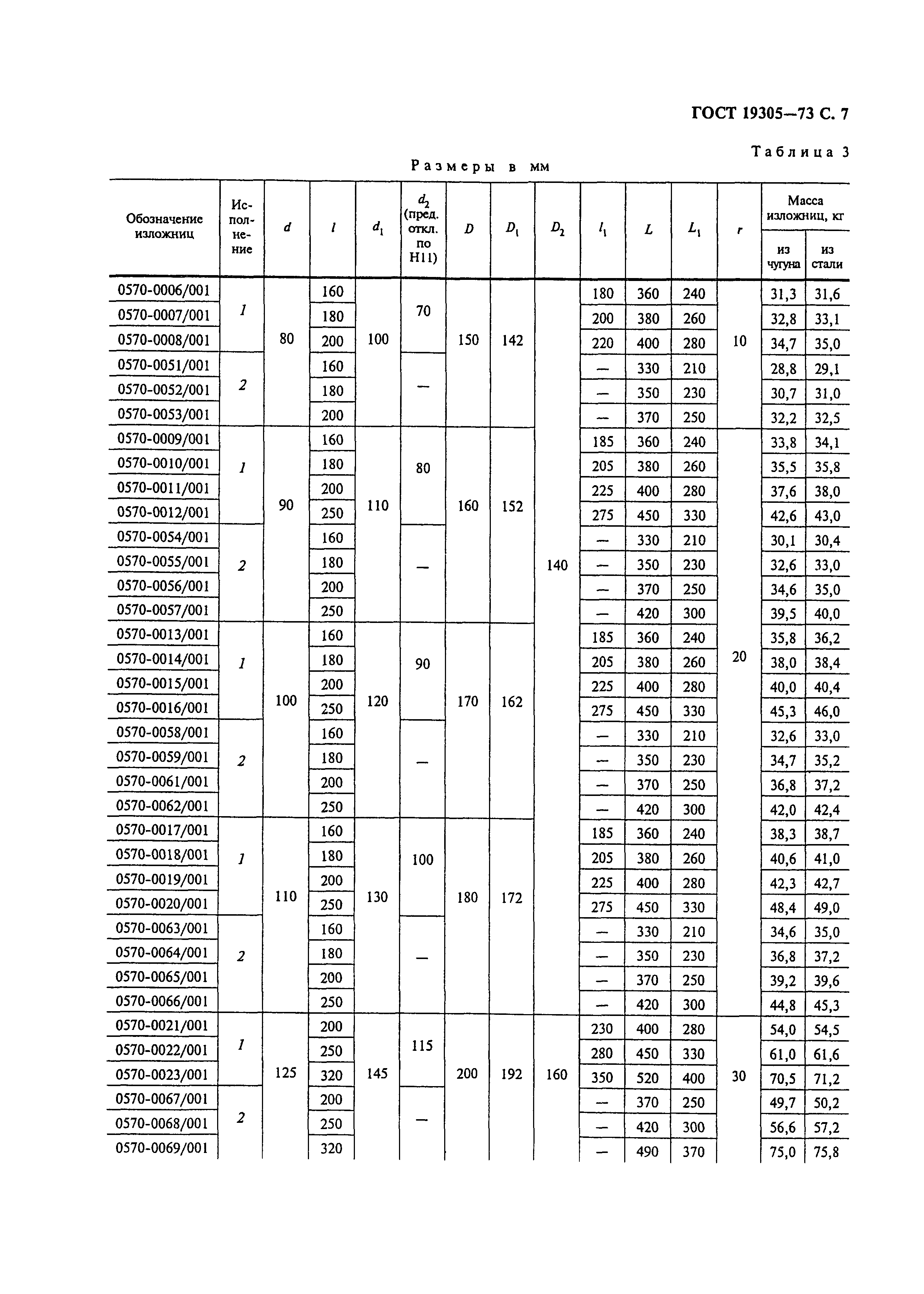
Настоящий стандарт распространяется на центробежные изложницы с резьбовым хвостовиком и замками-щеколдами для однопозиционных центробежных литьевых машин консольного типа с горизонтальной осью вращения, предназначенные для отливки втулок из стали, чугуна и цветных сплавов
Связи и замены
Заменяющий:
-
Взамен:
МН 4186-62
Изменения и переиздания
Список изменений:
№0 от (рег. ) «Поправка к изменению» №1 от (рег. ) «Срок действия продлен»
Описание стандарта
ГОСТ 19305-73 Изложницы центробежные с резьбовым хвостовиком и замками-щеколдами. Конструкция и размеры
Страницы стандарта










