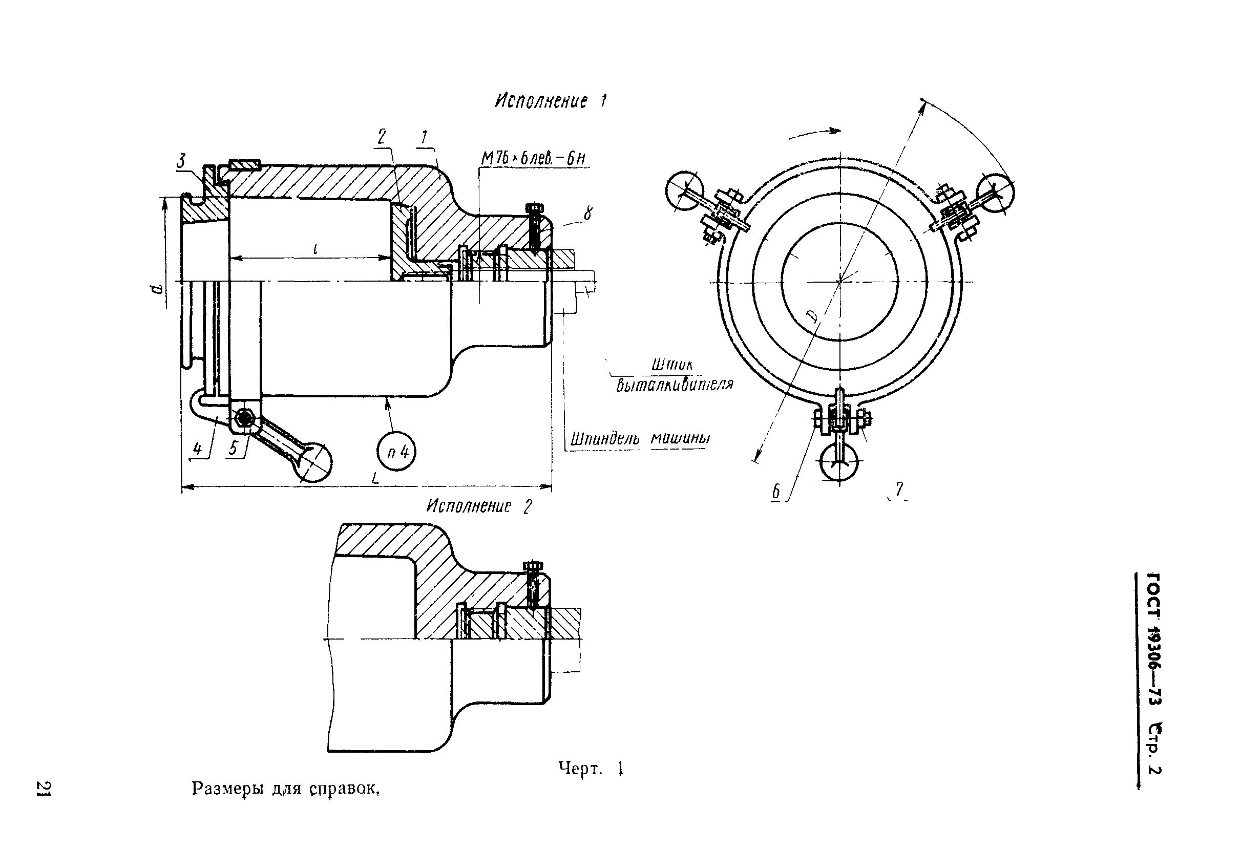
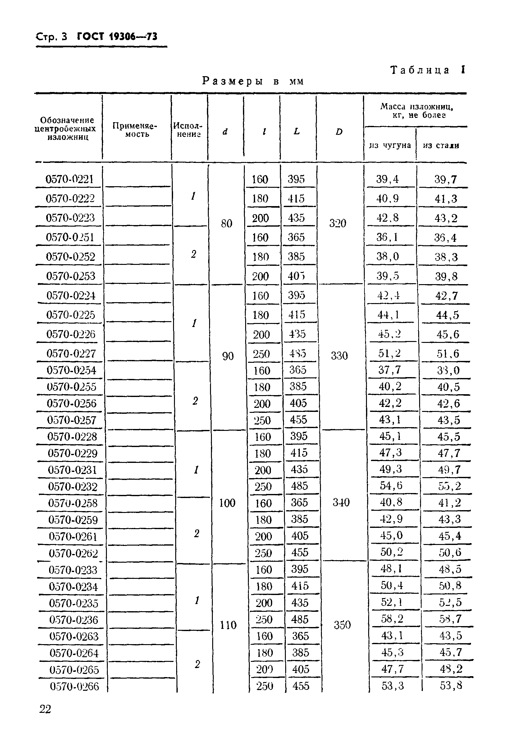
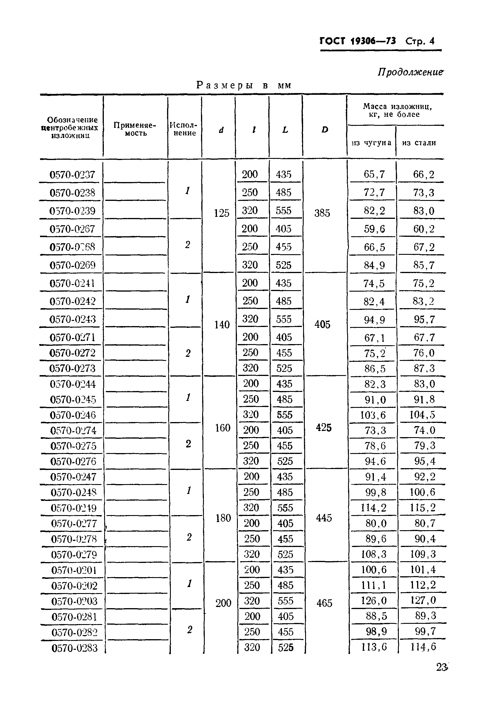
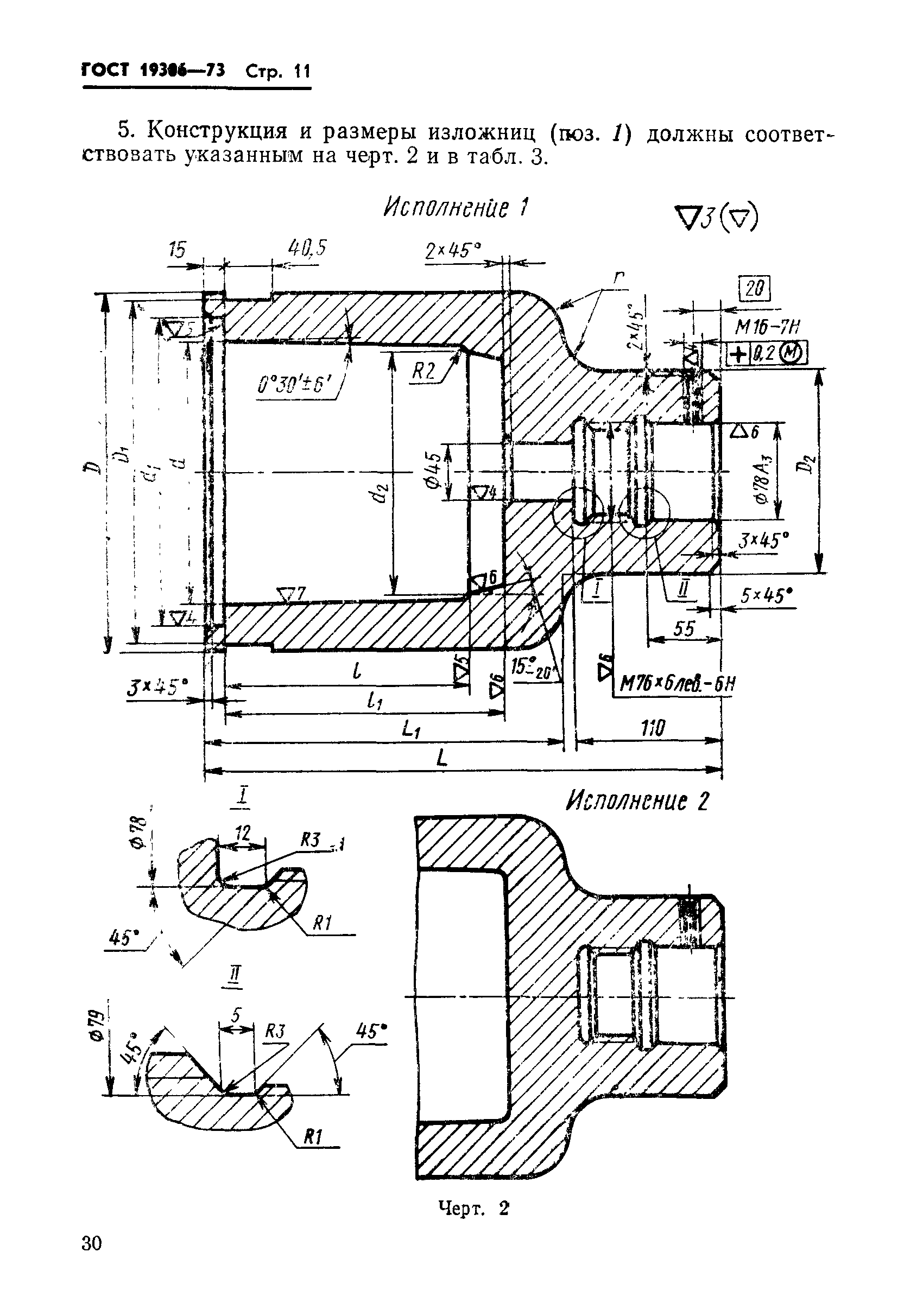
ГОСТ 19306-73 Изложницы центробежные с резьбовым хвостовиком и центробежными замками. Конструкция и размеры
ГОСТ
Скачать ГОСТ в PDF или DOC бесплатно
Основная информация
Обозначение:
ГОСТ 19306-73
Статус:
Заменен
Тип:
ГОСТ
Название русское:
Изложницы центробежные с резьбовым хвостовиком и центробежными замками. Конструкция и размеры
Название английское:
Centrigugal moulds with threaded shank and centrifugal locs. Construction and dimensions
Даты и сроки
Дата издания:
01-01-73
Дата введения в действие:
01-01-75
Дата завершения срока действия:
01-01-00
Связи и замены
Заменяющий:
ГОСТ 19306-98
Взамен:
МН 4187-62
Изменения и переиздания
Список изменений:
№1 от (рег. ) «Срок действия продлен»
Описание стандарта
ГОСТ 19306-73 Изложницы центробежные с резьбовым хвостовиком и центробежными замками. Конструкция и размеры
Страницы стандарта

















