ГОСТ 31366-2008 Прутки латунные для обработки резанием на автоматах. Технические условия
ГОСТ
Скачать ГОСТ в PDF или DOC бесплатно
Основная информация
Обозначение:
ГОСТ 31366-2008
Статус:
Действует
Тип:
ГОСТ
Название русское:
Прутки латунные для обработки резанием на автоматах. Технические условия
Название английское:
Brass rods for free machining purposes. Specifications
Даты и сроки
Дата регистрации:
06-06-08
Дата издания:
06-15-09
Дата введения в действие:
01-01-10
Дата завершения срока действия:
-
Применение и описание
Область и условия применения:
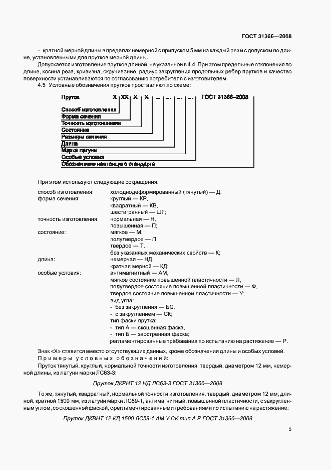
Настоящий стандарт распространяется на латунные тянутые прутки круглого, квадратного и шестигранного сечений, поставляемые в прямых отрезках, специально предназначенные для обработки резанием на автоматах. Стандарт устанавливает сортамент, технические требования, правила приемки, методы контроля и испытаний, маркировку, упаковку, транспортирование и хранение прутков
Связи и замены
Заменяющий:
-
Изменения и переиздания
Список изменений:
№1 от (рег. ) «Текстовое изменение; Изменены ссылочные НД»
Описание стандарта
ГОСТ 31366-2008 Прутки латунные для обработки резанием на автоматах. Технические условия
Страницы стандарта
























Приложение №1: Изменение №1 к ГОСТ 31366-2008 Обозначение: Изменение №1 к ГОСТ 31366-2008 Дата введения в действие: 01.09.2015
