ГОСТ Р 59730-2021 Техническое обеспечение медицинской деятельности. Организация и учет
ГОСТ Р
Скачать ГОСТ в PDF или DOC бесплатно
Основная информация
Обозначение:
ГОСТ Р 59730-2021
Статус:
Действует
Тип:
ГОСТ Р
Название русское:
Техническое обеспечение медицинской деятельности. Организация и учет
Название английское:
Technical ensuring of medical activity. Organization and accounting
Даты и сроки
Дата издания:
10-21-21
Дата введения в действие:
02-01-22
Дата завершения срока действия:
-
Применение и описание
Область и условия применения:
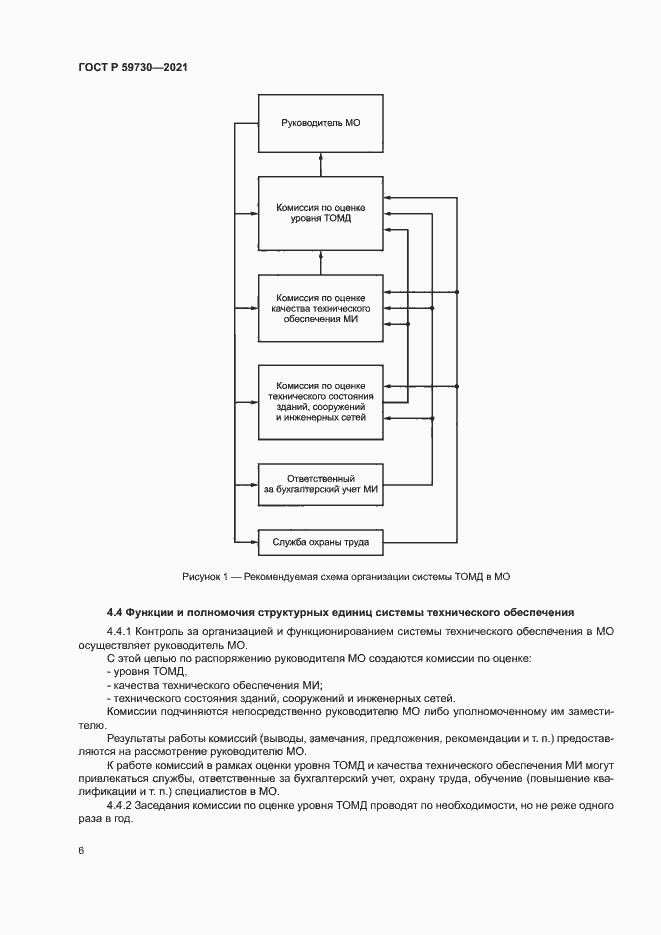
Настоящий стандарт устанавливает основные положения по организации системы технического обеспечения медицинской деятельности в медицинских организациях. Настоящий стандарт содержит основные требования, применяемые к медицинским изделиям на этапах жизненного цикла, в том числе в процессе их эксплуатации, требования к условиям эксплуатации медицинских изделий, а также принципы оценки качества системы технического обеспечения в медицинской организации, в том числе в части организации внутреннего аудита качества медицинской помощи
Связи и замены
Заменяющий:
-
Описание стандарта
ГОСТ Р 59730-2021 Техническое обеспечение медицинской деятельности. Организация и учет
Страницы стандарта






































