ГОСТ 11383-2016 Трубки медные и латунные тонкостенные. Технические условия
ГОСТ
Скачать ГОСТ в PDF или DOC бесплатно
Основная информация
Обозначение:
ГОСТ 11383-2016
Статус:
Действует
Тип:
ГОСТ
Название русское:
Трубки медные и латунные тонкостенные. Технические условия
Название английское:
Thin-walled copper and brass tubes. Specifications
Даты и сроки
Дата регистрации:
02-29-16
Дата издания:
08-08-16
Дата введения в действие:
04-01-17
Дата завершения срока действия:
-
Применение и описание
Область и условия применения:
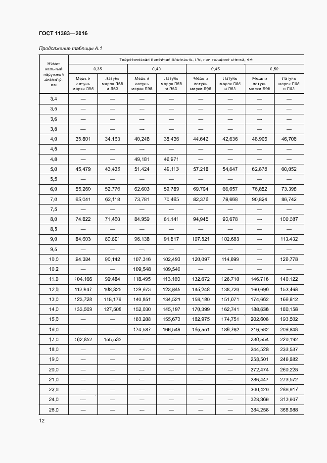
Настоящий стандарт распространяется на круглые холоднодеформированные тянутые тонкостенные трубки из меди и латуни (далее - трубки), применяемые в различных отраслях промышленности. Стандарт устанавливает сортамент, технические требования, правила приемки, методы контроля и испытаний, правила маркировки, упаковки, транспортирования и хранения трубок
Связи и замены
Заменяющий:
-
Взамен:
ГОСТ 11383-75
Описание стандарта
ГОСТ 11383-2016 Трубки медные и латунные тонкостенные. Технические условия
Страницы стандарта




















Приложение №1: Поправка к ГОСТ 11383-2016 Обозначение: Поправка к ГОСТ 11383-2016 Дата введения в действие: 13.03.2020
