ГОСТ 17386-72 Колонки направляющие ступенчатые пресс-форм и форм для литья под давлением. Конструкция и размеры
ГОСТ
Скачать ГОСТ в PDF или DOC бесплатно
Основная информация
Обозначение:
ГОСТ 17386-72
Статус:
Действует
Тип:
ГОСТ
Название русское:
Колонки направляющие ступенчатые пресс-форм и форм для литья под давлением. Конструкция и размеры
Название английское:
Step-shaped guide pins of plastics moulds and die casting dies. Construction and dimensions
Даты и сроки
Дата издания:
05-01-92
Дата введения в действие:
06-30-73
Дата завершения срока действия:
-
Применение и описание
Область и условия применения:
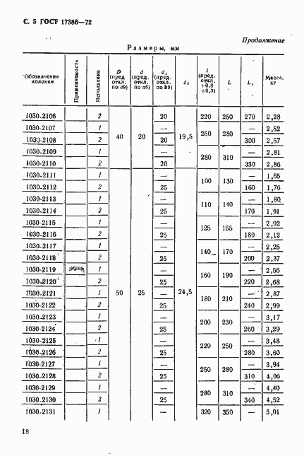
Настоящий стандарт распространяется на ступенчатые направляющие колонки пресс-форм для прессования изделий из реактопластов и форм для литья под давлением изделий из термопластов и цветных сплавов
Связи и замены
Заменяющий:
-
Взамен:
МН 1522-61;МН 1573-61;МН 5173-63
Изменения и переиздания
Список изменений:
№1 от (рег. ) «Срок действия продлен» №2 от (рег. ) «Срок действия продлен»
Описание стандарта
ГОСТ 17386-72 Колонки направляющие ступенчатые пресс-форм и форм для литья под давлением. Конструкция и размеры
Страницы стандарта







