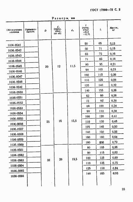
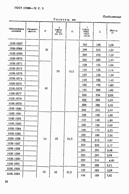
ГОСТ 17390-72 Колонки опорные пресс-форм и форм для литья под давлением. Конструкция и размеры
ГОСТ
Скачать ГОСТ в PDF или DOC бесплатно
Основная информация
Обозначение:
ГОСТ 17390-72
Статус:
Действует
Тип:
ГОСТ
Название русское:
Колонки опорные пресс-форм и форм для литья под давлением. Конструкция и размеры
Название английское:
Supporting pins of plastics moulds and die casting dies. Construction and dimensions
Даты и сроки
Дата издания:
05-01-92
Дата введения в действие:
06-30-73
Дата завершения срока действия:
-
Применение и описание
Область и условия применения:
Настоящий стандарт распространяется на опорные колонки пресс-форм для прессования изделий из реактопластов и форм для литья под давлением изделий из термопластов и цветных сплавов
Связи и замены
Заменяющий:
-
Изменения и переиздания
Список изменений:
№1 от (рег. ) «Срок действия продлен» №2 от (рег. ) «Срок действия продлен»
Описание стандарта
ГОСТ 17390-72 Колонки опорные пресс-форм и форм для литья под давлением. Конструкция и размеры
Страницы стандарта




