ГОСТ 1535-2016 Прутки медные. Технические условия
ГОСТ
Скачать ГОСТ в PDF или DOC бесплатно
Основная информация
Обозначение:
ГОСТ 1535-2016
Статус:
Действует
Тип:
ГОСТ
Название русское:
Прутки медные. Технические условия
Название английское:
Copper rods. Specifications
Даты и сроки
Дата регистрации:
02-29-16
Дата издания:
09-14-16
Дата введения в действие:
04-01-17
Дата завершения срока действия:
-
Применение и описание
Область и условия применения:
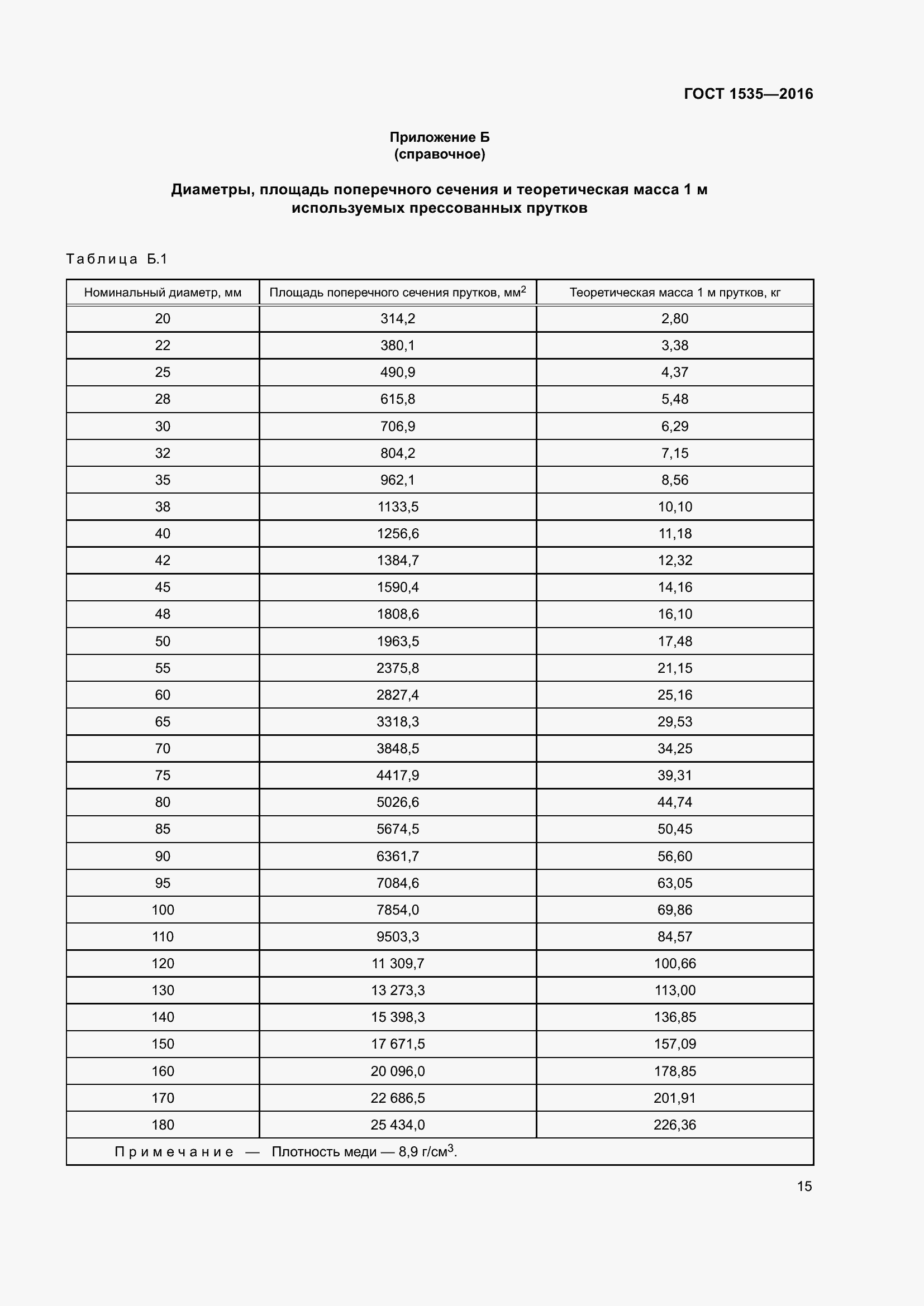
Настоящий стандарт распространяется на тянутые медные прутки круглого, квадратного, шестигранного сечений, прессованные и экструдированные прутки круглого сечения, применяемые в различных отраслях промышленности
Связи и замены
Заменяющий:
-
Взамен:
ГОСТ 1535-2006
Описание стандарта
ГОСТ 1535-2016 Прутки медные. Технические условия
Страницы стандарта






















Приложение №1: Поправка к ГОСТ 1535-2016 Обозначение: Поправка к ГОСТ 1535-2016 Дата введения в действие: 28.10.2019

Приложение №2: Поправка к ГОСТ 1535-2016 Обозначение: Поправка к ГОСТ 1535-2016 Дата введения в действие: 24.11.2022
