ГОСТ 617-2006 Трубы медные и латунные круглого сечения общего назначения. Технические условия
ГОСТ
Скачать ГОСТ в PDF или DOC бесплатно
Основная информация
Обозначение:
ГОСТ 617-2006
Статус:
Действует
Тип:
ГОСТ
Название русское:
Трубы медные и латунные круглого сечения общего назначения. Технические условия
Название английское:
General-purpose copper and brass tubes of round section. Specifications
Даты и сроки
Дата регистрации:
06-24-06
Дата издания:
03-01-08
Дата введения в действие:
01-01-08
Дата завершения срока действия:
-
Применение и описание
Область и условия применения:
Настоящий стандарт распространяется на медные и латунные (из латуни марки Л 96) холоднодеформированные и прессованные трубы круглого сечения общего назначения. Стандарт устанавливает сортамент, технические требования, правила приемки, методы контроля и испытаний, упаковку, маркировку, транспортирование и хранение труб
Связи и замены
Заменяющий:
-
Взамен:
ГОСТ 617-90
Изменения и переиздания
Список изменений:
№1 от (рег. ) «Текстовое изменение; Изменены ссылочные НД»
Описание стандарта
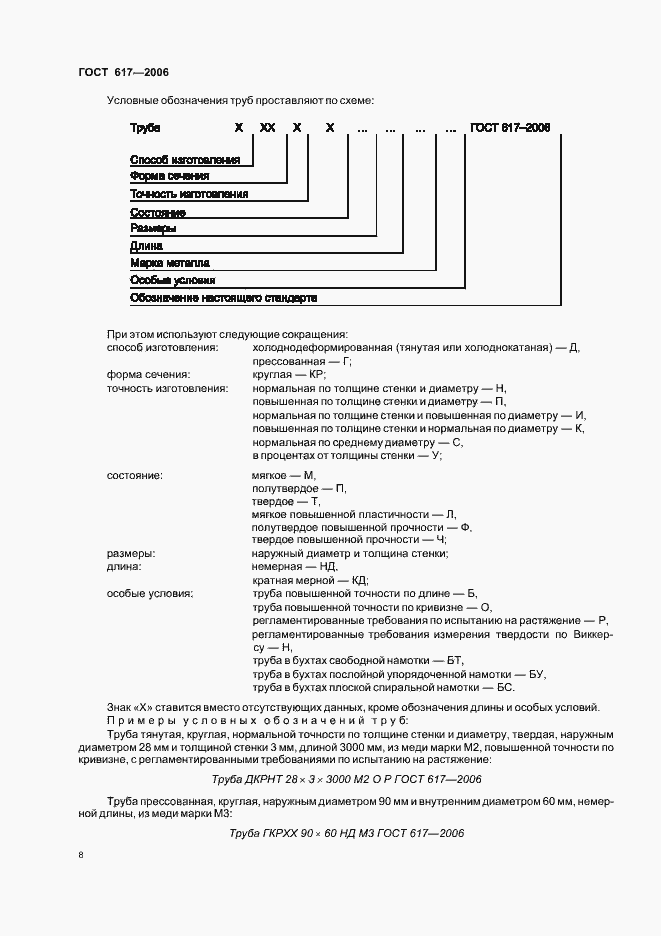
ГОСТ 617-2006 Трубы медные и латунные круглого сечения общего назначения. Технические условия
Страницы стандарта





























Приложение №1: Изменение №1 к ГОСТ 617-2006 Обозначение: Изменение №1 к ГОСТ 617-2006 Дата введения в действие: 01.09.2014

Приложение №1: Изменение №1 к ГОСТ 617-2006 Обозначение: Изменение №1 к ГОСТ 617-2006 Дата введения в действие: 01.09.2014

Приложение №2: Поправка к ГОСТ 617-2006 Обозначение: Поправка к ГОСТ 617-2006 Дата введения в действие: 15.03.2021
