ГОСТ 32931-2015 Трубы стальные профильные для металлоконструкций. Технические условия
ГОСТ
Скачать ГОСТ в PDF или DOC бесплатно
Основная информация
Обозначение:
ГОСТ 32931-2015
Статус:
Действует
Тип:
ГОСТ
Название русское:
Трубы стальные профильные для металлоконструкций. Технические условия
Название английское:
Profile steel pipes for metal constructions. Specifications
Даты и сроки
Дата регистрации:
06-18-15
Дата издания:
03-11-16
Дата введения в действие:
09-01-16
Дата завершения срока действия:
-
Применение и описание
Область и условия применения:
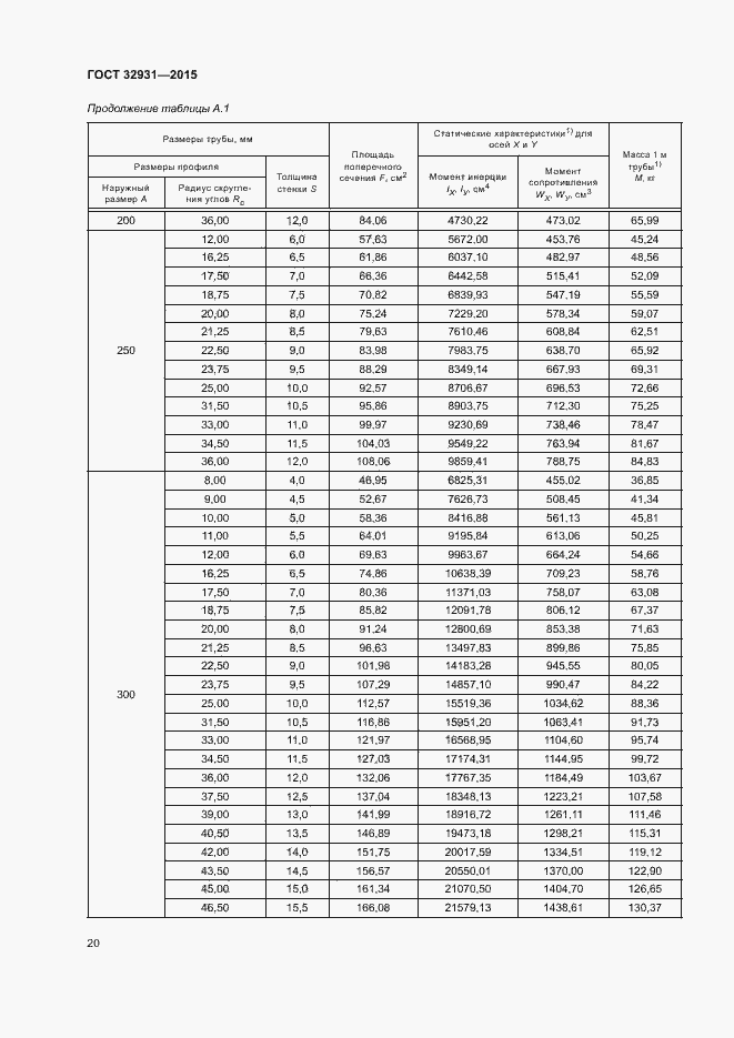
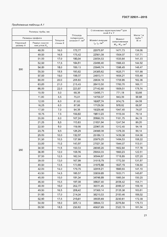
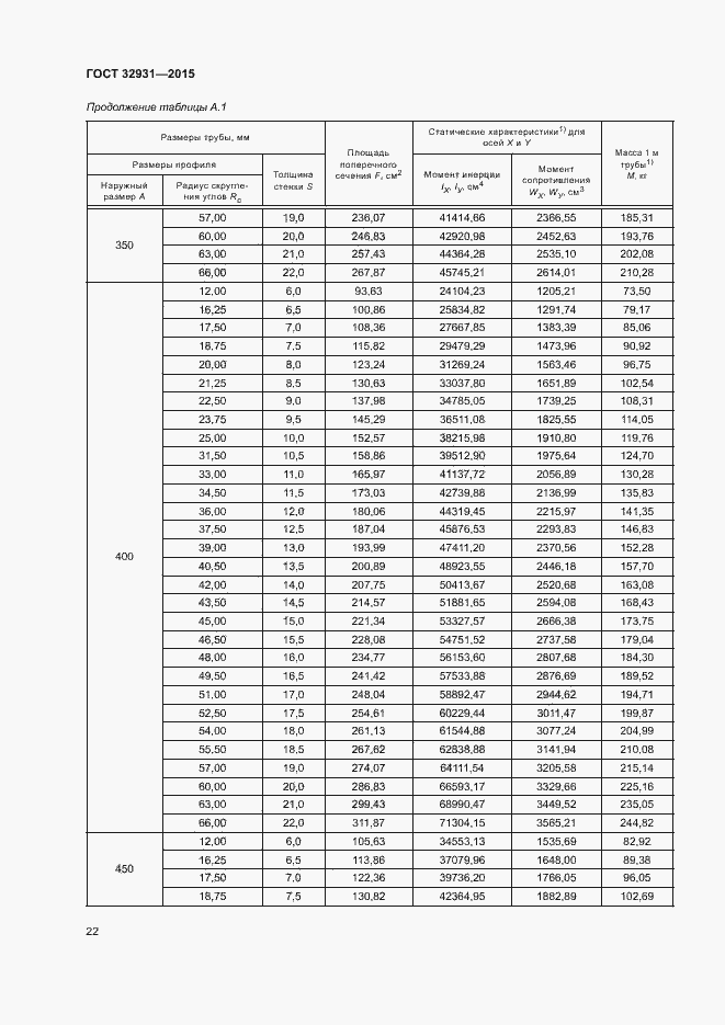
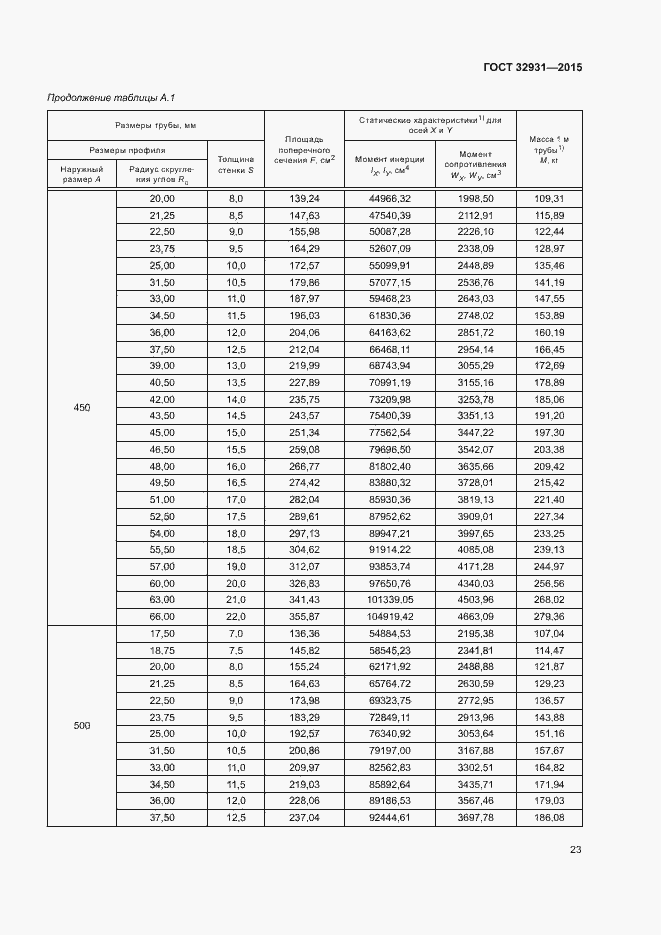
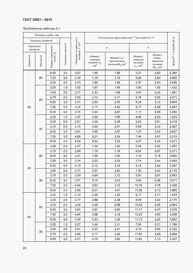
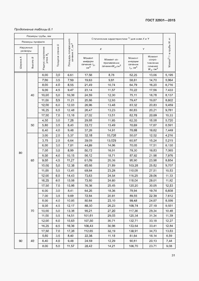
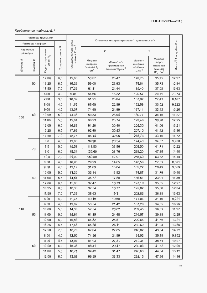
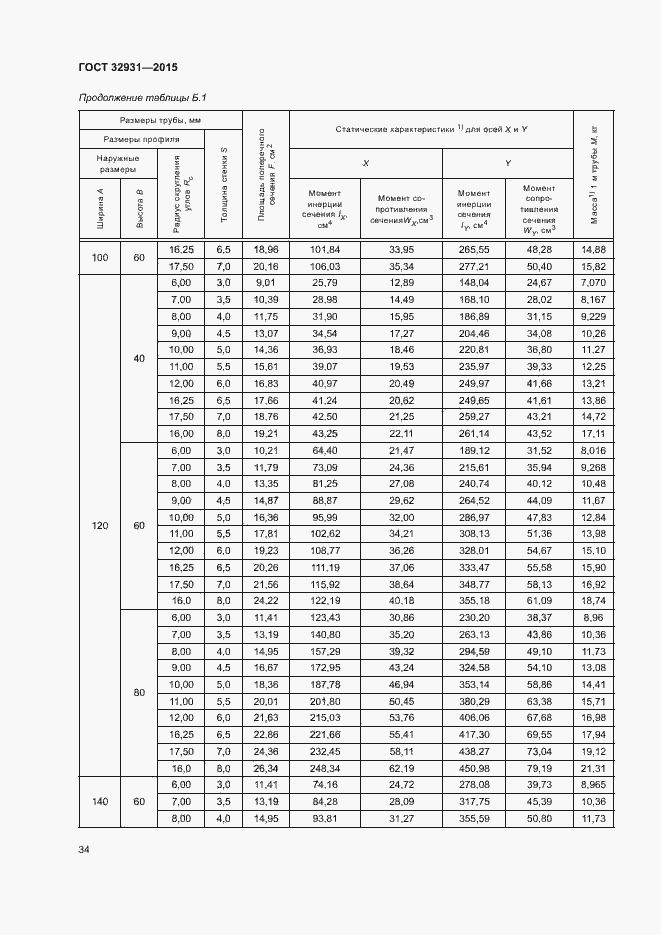
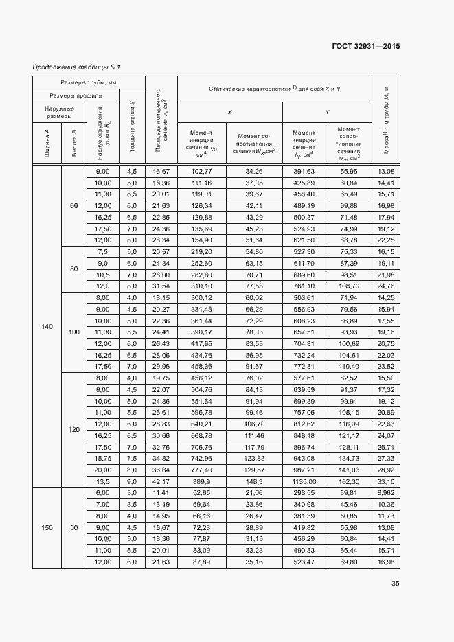
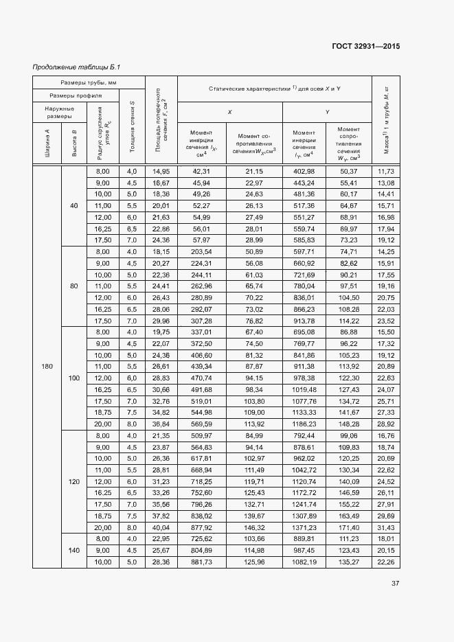
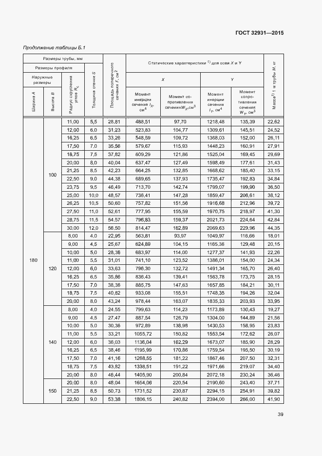
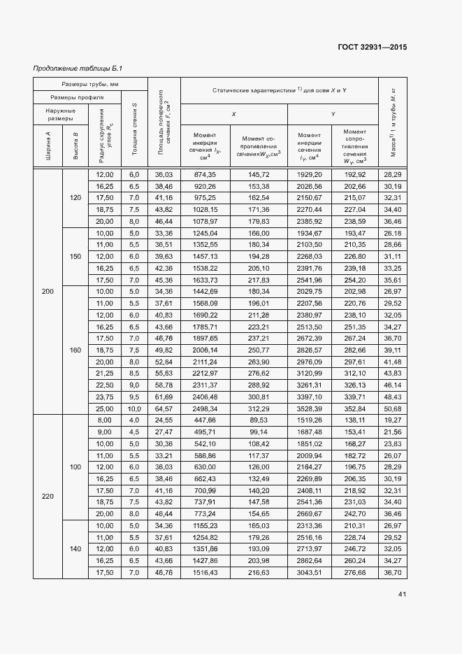
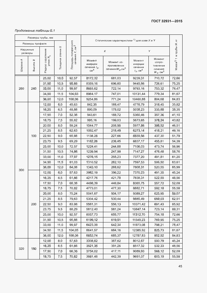
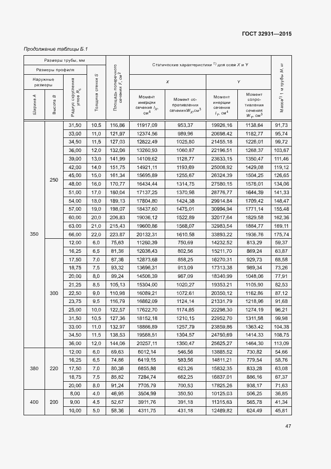
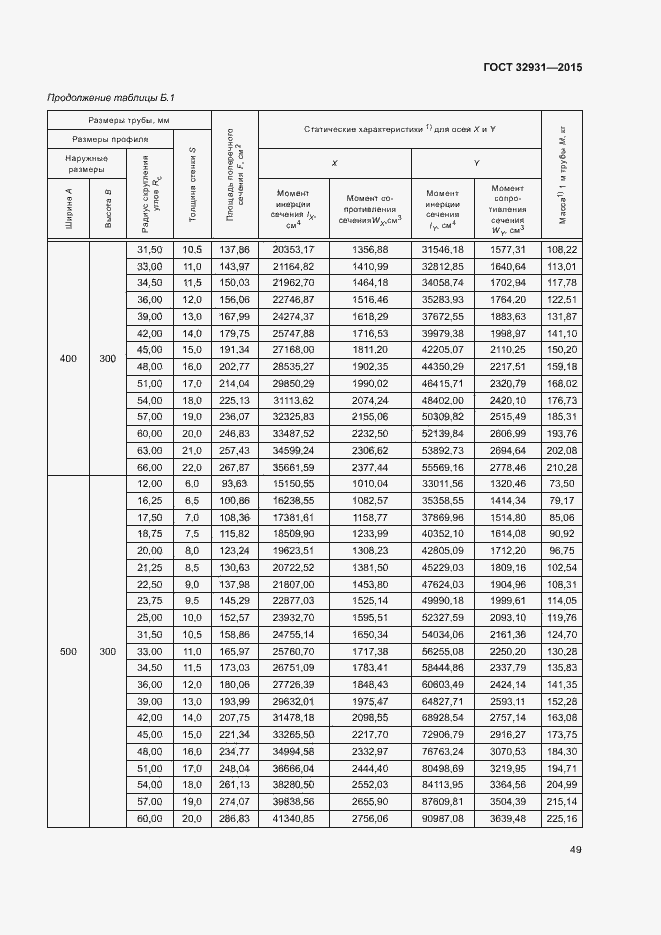
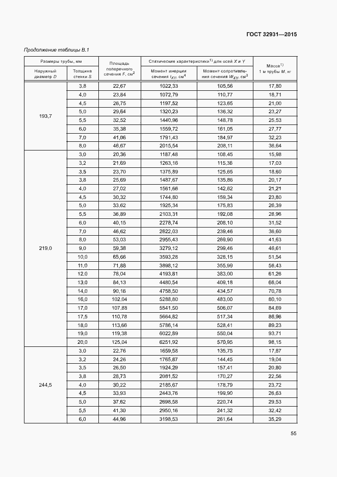
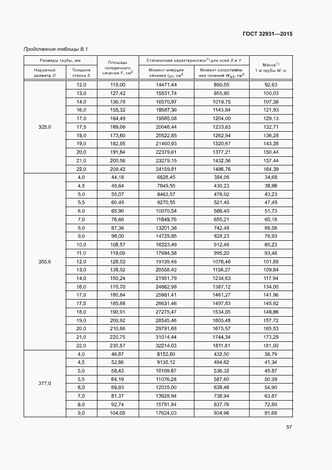
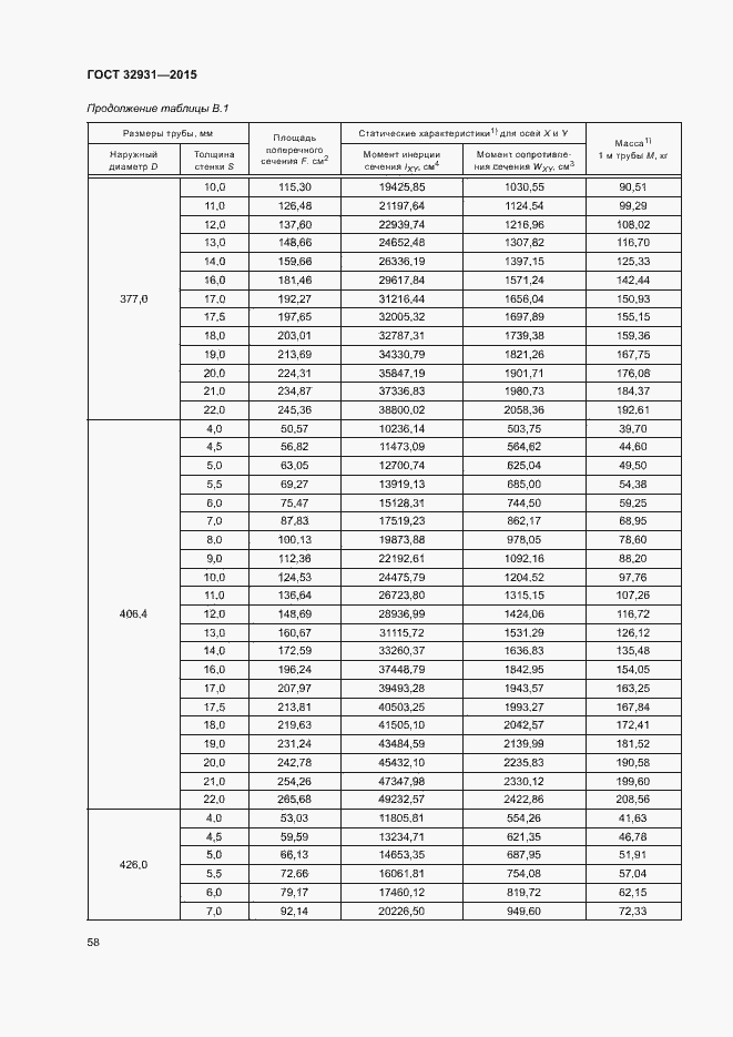
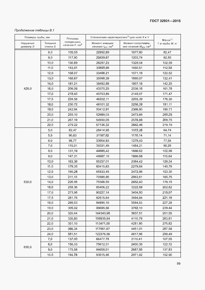
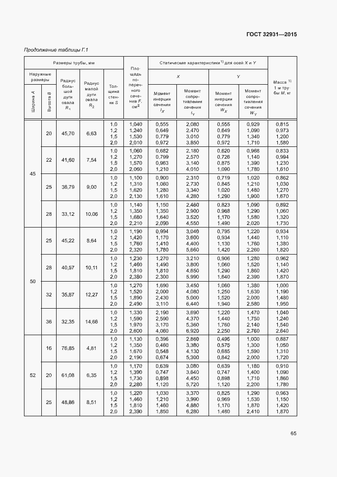
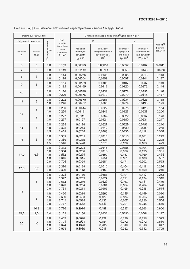
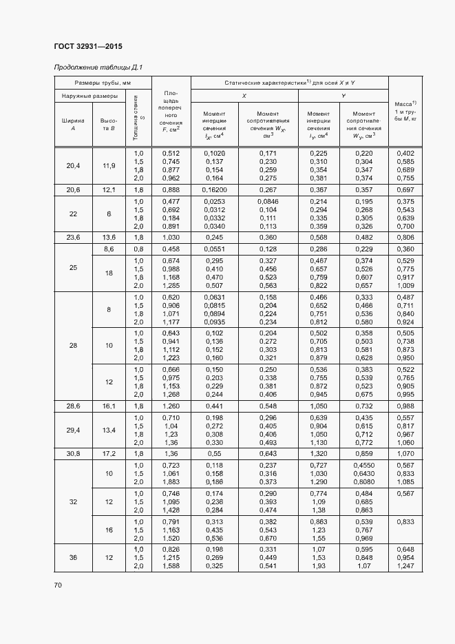
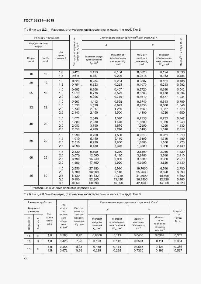
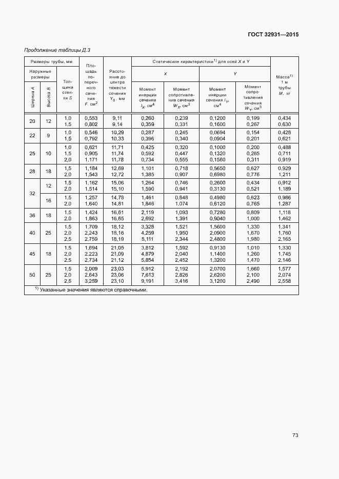
Настоящий стандарт распространяется на круглые, квадратные, прямоугольные, овальные и плоскоовальные трубы для металлоконструкций из углеродистой и низколегированной стали
Связи и замены
Заменяющий:
-
Описание стандарта
ГОСТ 32931-2015 Трубы стальные профильные для металлоконструкций. Технические условия
Страницы стандарта
















































































