ГОСТ Р 54432-2011 Фланцы арматуры, соединительных частей и трубопроводов на номинальное давление от PN 1 до PN 200. Конструкция, размеры и общие технические требования
ГОСТ Р
Скачать ГОСТ в PDF или DOC бесплатно
Основная информация
Обозначение:
ГОСТ Р 54432-2011
Статус:
Отменен
Тип:
ГОСТ Р
Название русское:
Фланцы арматуры, соединительных частей и трубопроводов на номинальное давление от PN 1 до PN 200. Конструкция, размеры и общие технические требования
Название английское:
Flanges for valves, fittings, and pipelines for pressure from PN 1 to PN 200. Design, dimensions and general technical requirements
Даты и сроки
Дата издания:
05-24-12
Дата введения в действие:
04-01-12
Дата завершения срока действия:
04-01-17
Применение и описание
Область и условия применения:
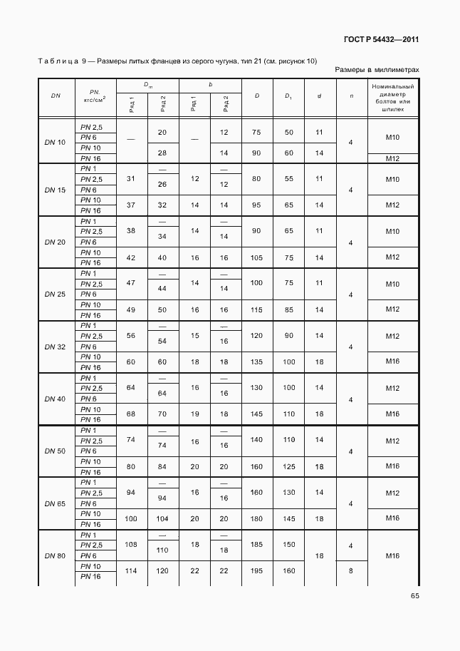
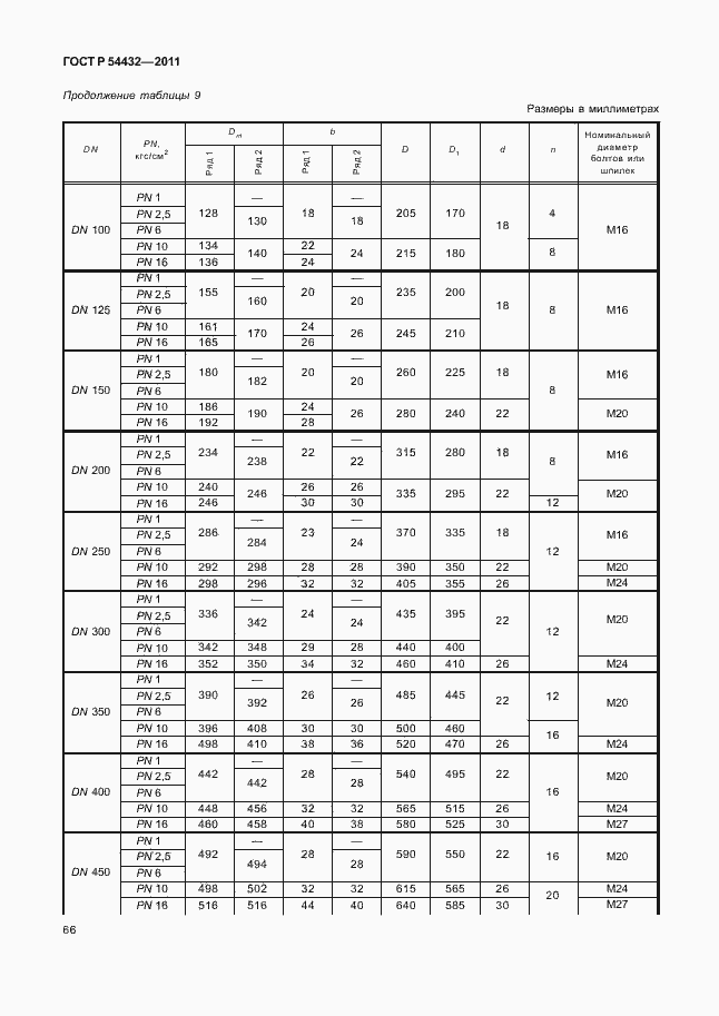
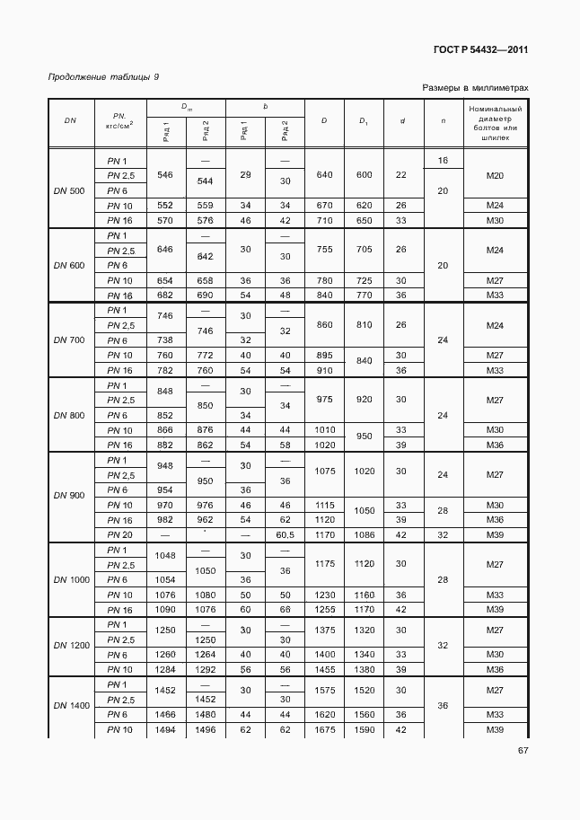
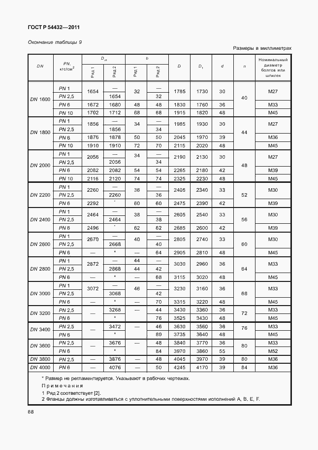
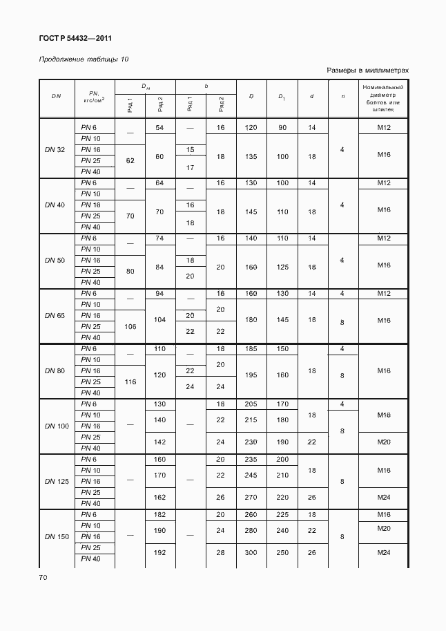
Настоящий стандарт распространяется на присоединительные фланцы трубопроводной арматуры, соединительных частей и трубопроводов, а также на присоединительные фланцы машин, приборов, патрубков, аппаратов и резервуаров на номинальное давление от PN 1 до PN 200 и устанавливает конструкцию и размеры стальных и чугунных фланцев, определяет типы фланцев, типы форм уплотнительных поверхностей, устанавливает технические требования к изготовлению, маркировке, испытаниям и контролю. Также в настоящем стандарте приведены рекомендации по выбору материала для фланцев и крепежных деталей. На фланцы для других объектов, параметров и условий применения действуют ГОСТ 1536, ГОСТ 4433, ГОСТ 9399, ГОСТ 25660, ГОСТ 28759.1-ГОСТ 28759.5. Стандарт может быть использован для подтверждения соответствия.
Связи и замены
Заменяющий:
-
Изменения и переиздания
Список изменений:
№0 от (рег. ) «Дата введения перенесена» №0 от (рег. ) «Текстовое изменение; Изменено заглавие»
Описание стандарта
ГОСТ Р 54432-2011 Фланцы арматуры, соединительных частей и трубопроводов на номинальное давление от PN 1 до PN 200. Конструкция, размеры и общие технические требования
Страницы стандарта
































































































Приложение №2: Поправка к ГОСТ Р 54432-2011 Обозначение: Поправка к ГОСТ Р 54432-2011 Дата введения в действие: 25.12.2012

Приложение №2: Поправка к ГОСТ Р 54432-2011 Обозначение: Поправка к ГОСТ Р 54432-2011 Дата введения в действие: 25.12.2012
