ГОСТ Р 54157-2010 Трубы стальные профильные для металлоконструкций. Технические условия
ГОСТ Р
Скачать ГОСТ в PDF или DOC бесплатно
Основная информация
Обозначение:
ГОСТ Р 54157-2010
Статус:
Отменен
Тип:
ГОСТ Р
Название русское:
Трубы стальные профильные для металлоконструкций. Технические условия
Название английское:
Profile steel pipes for metal constructions. Specifications
Даты и сроки
Дата издания:
06-17-11
Дата введения в действие:
08-01-11
Дата завершения срока действия:
09-01-16
Применение и описание
Область и условия применения:
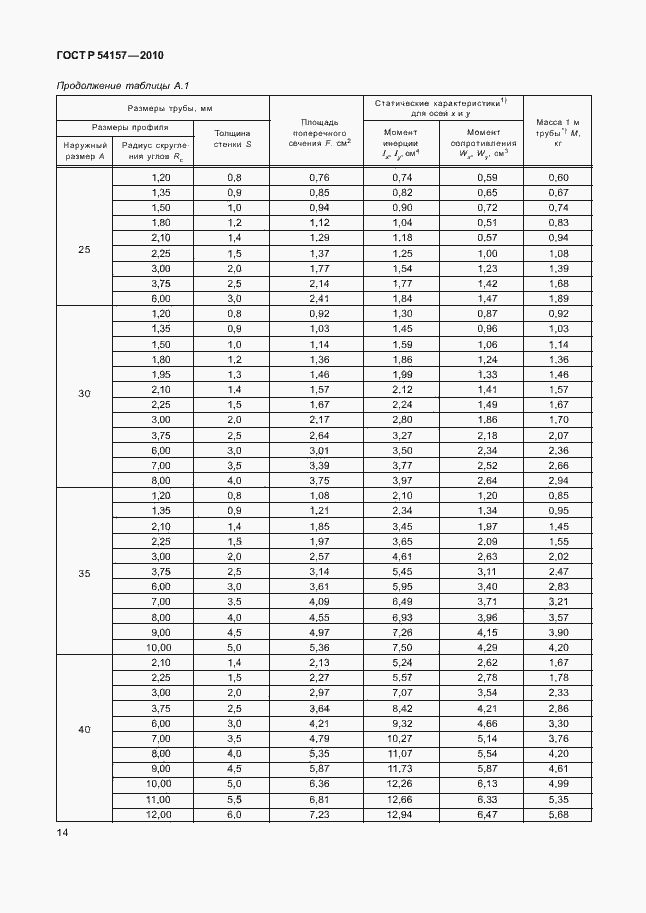
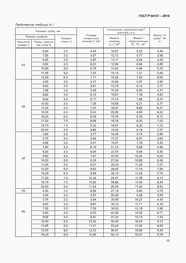
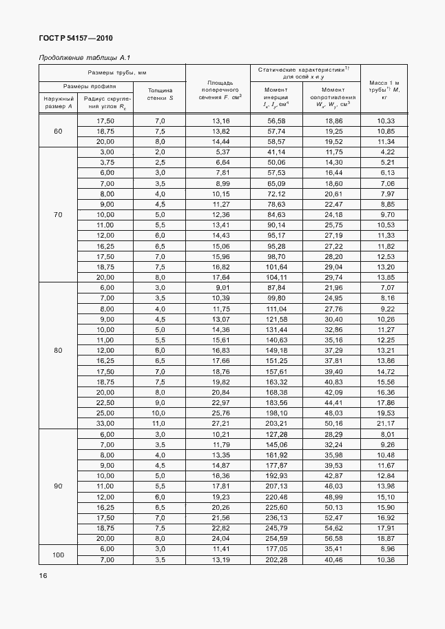
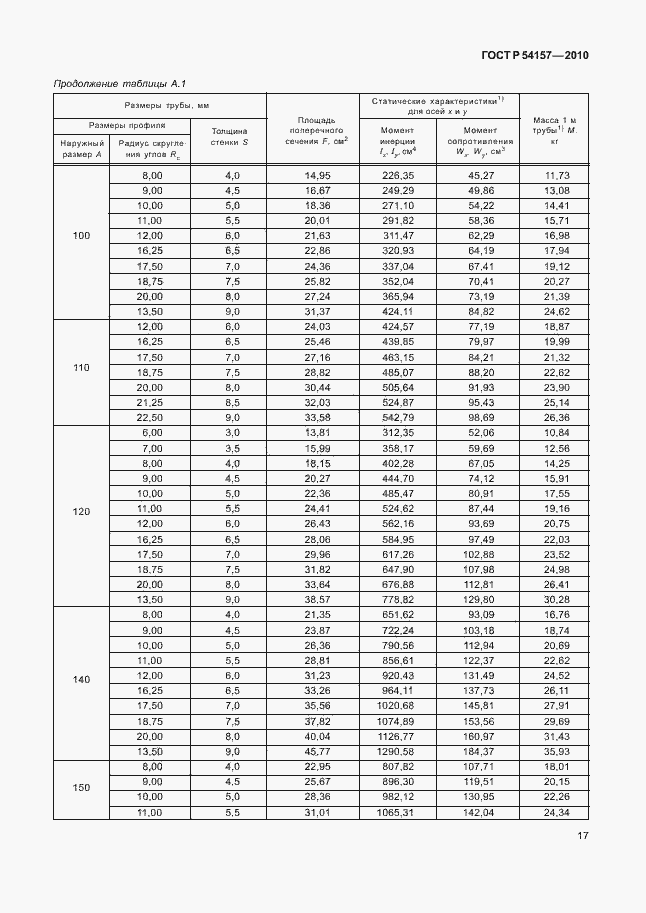
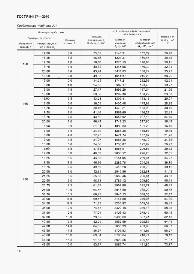
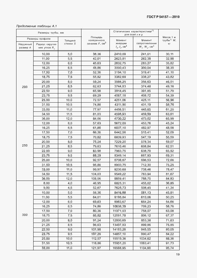
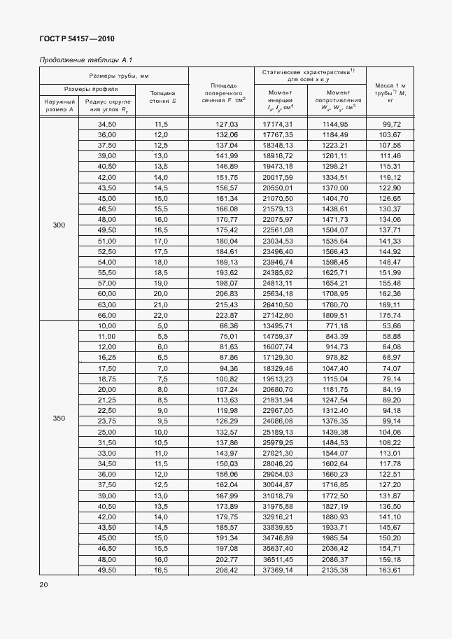
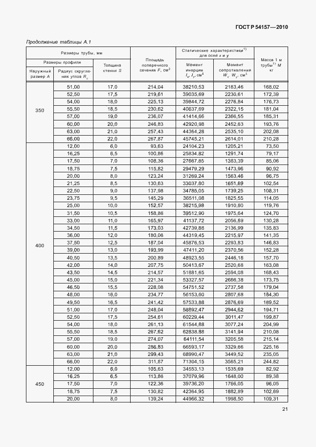
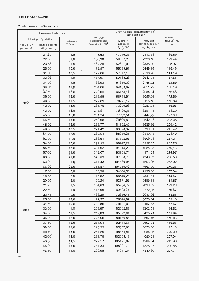
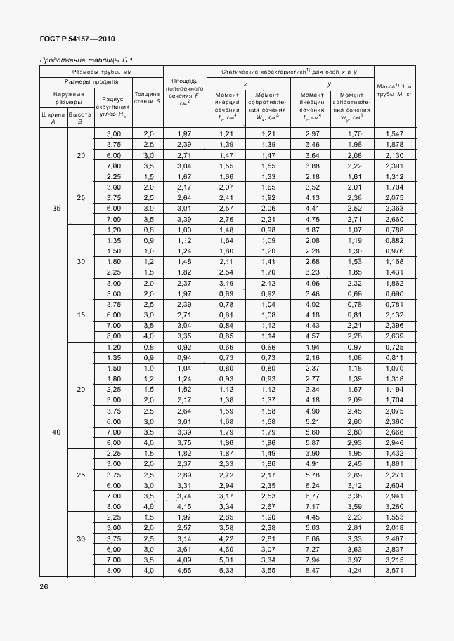
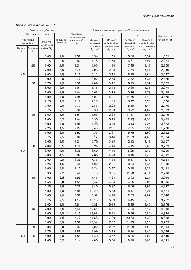
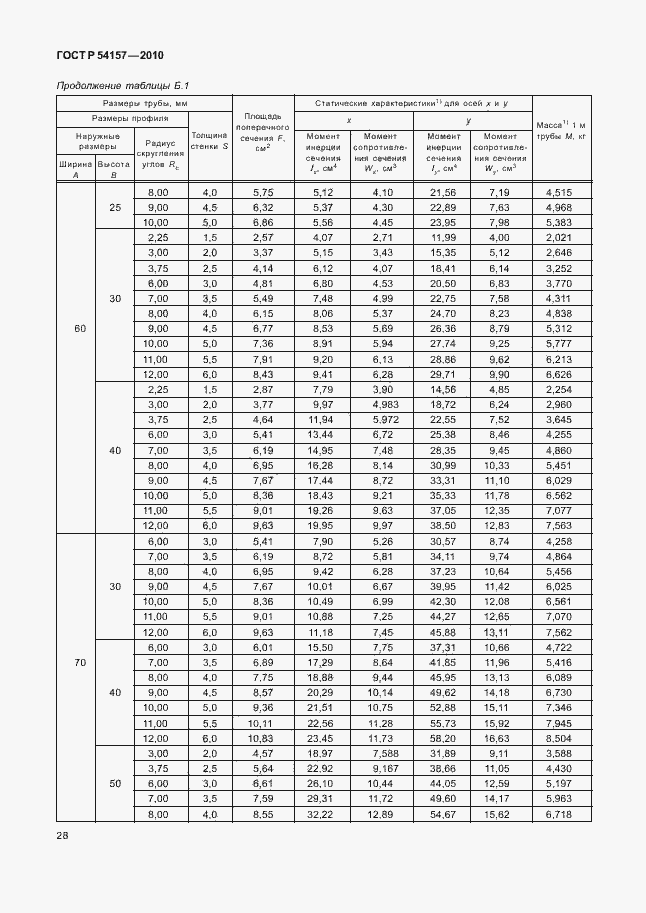
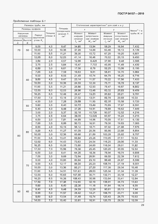
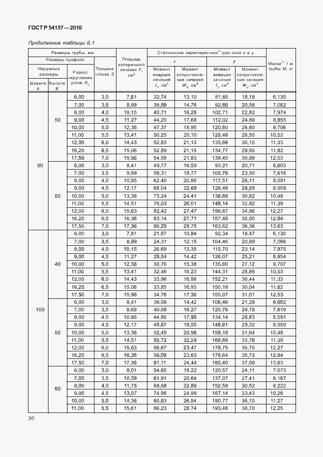
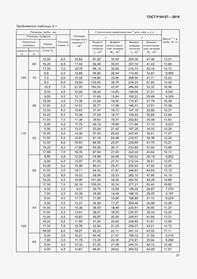
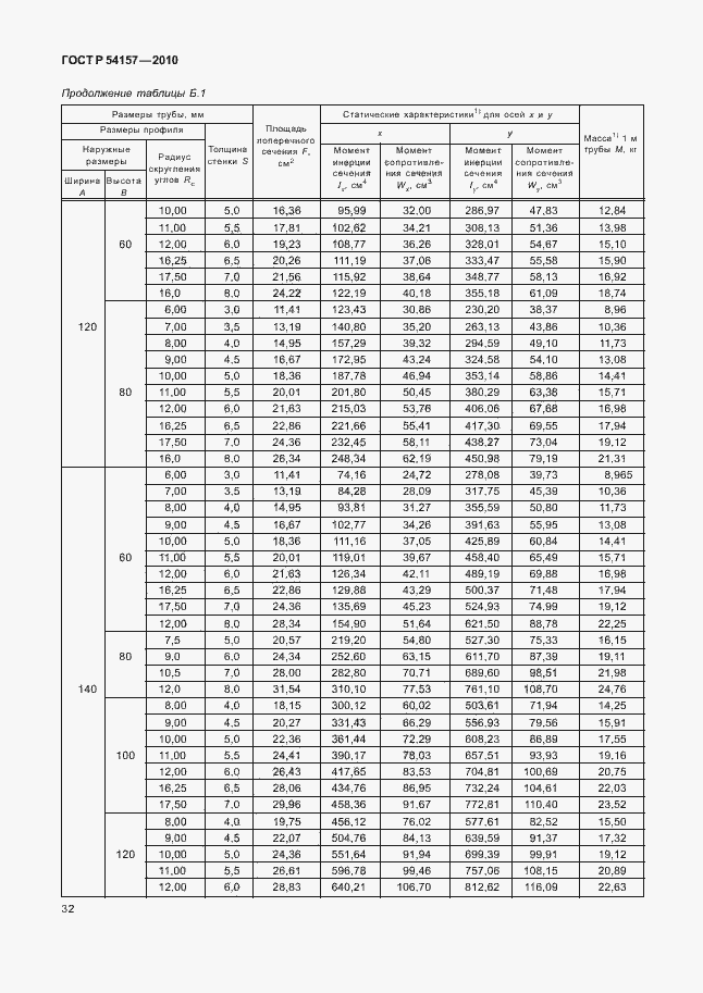
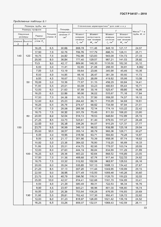
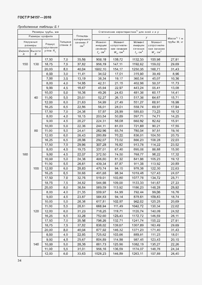
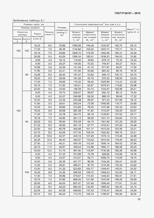
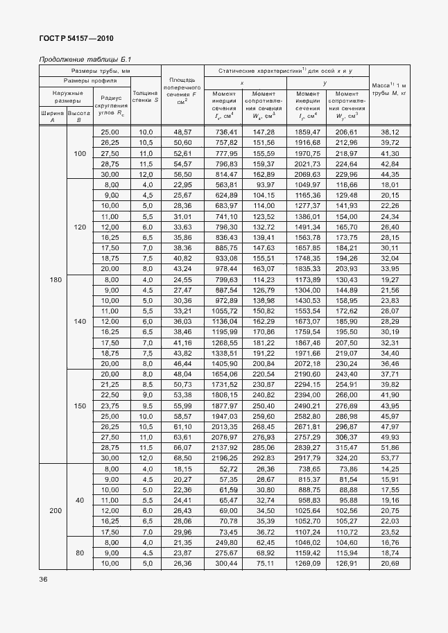
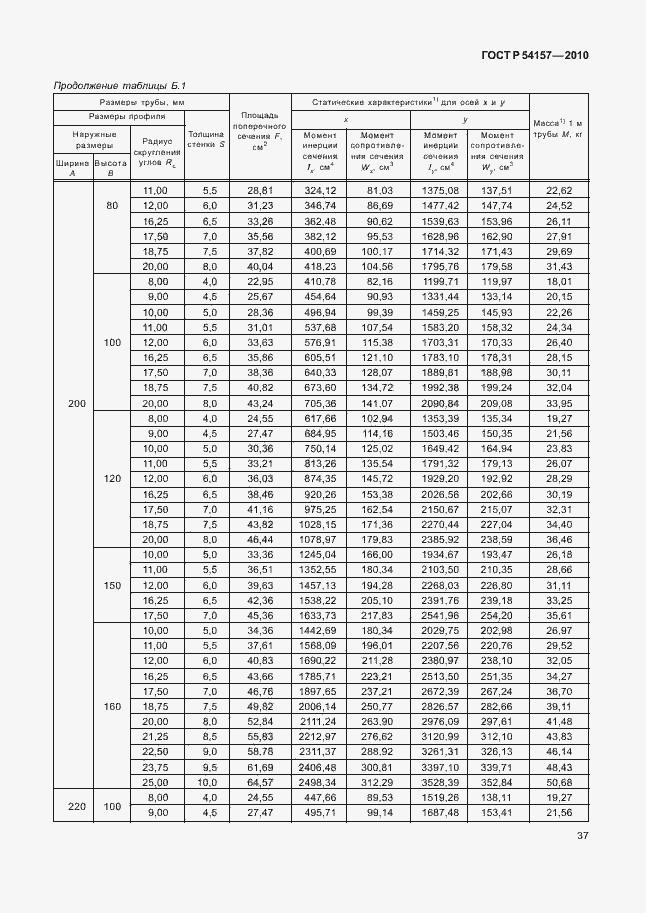
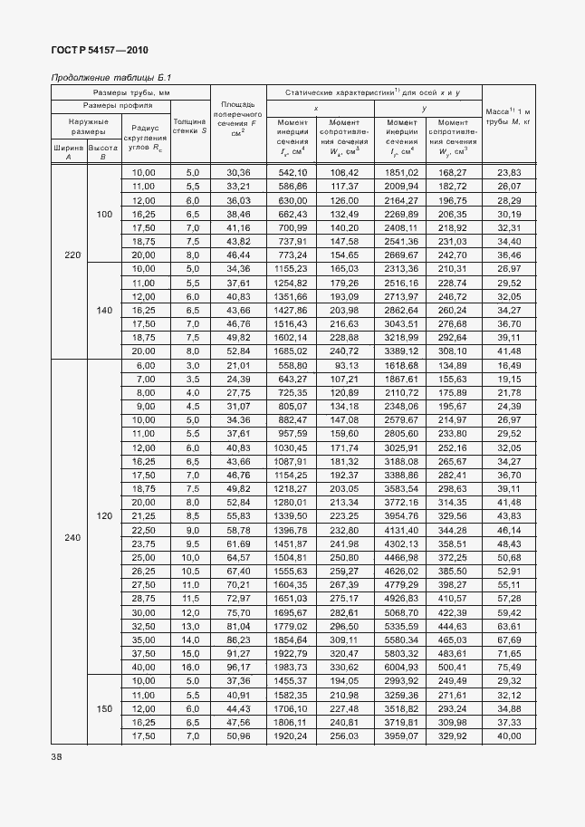
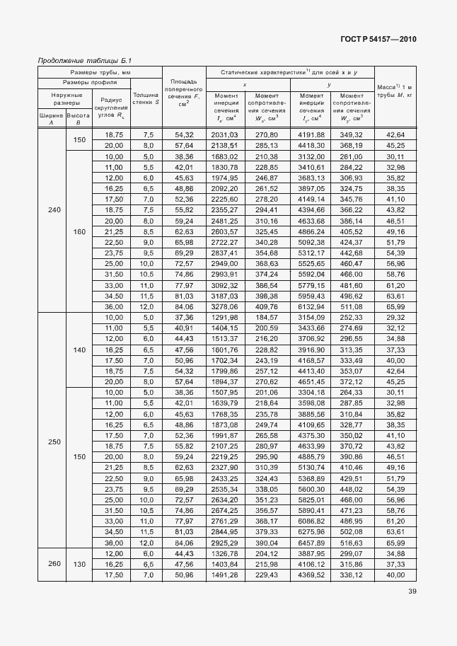
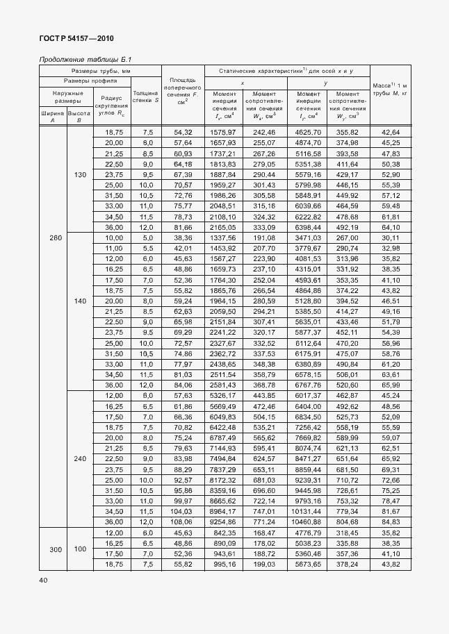
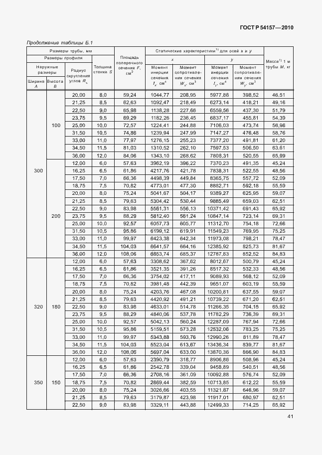
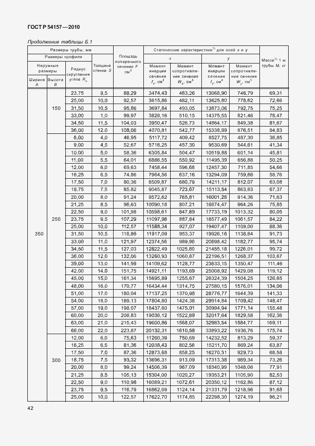
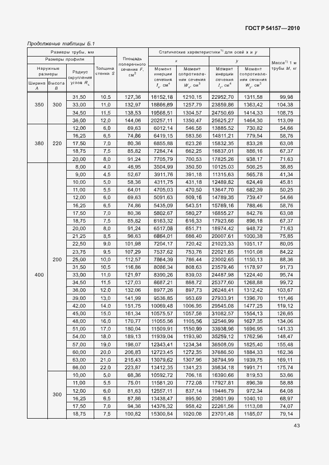
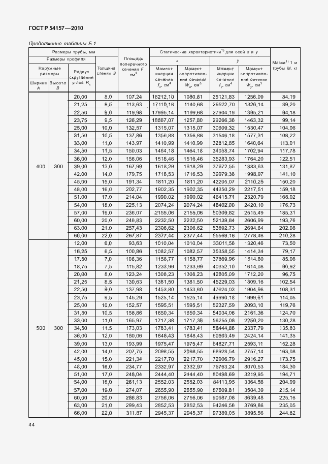
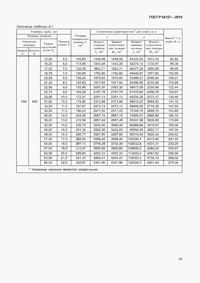
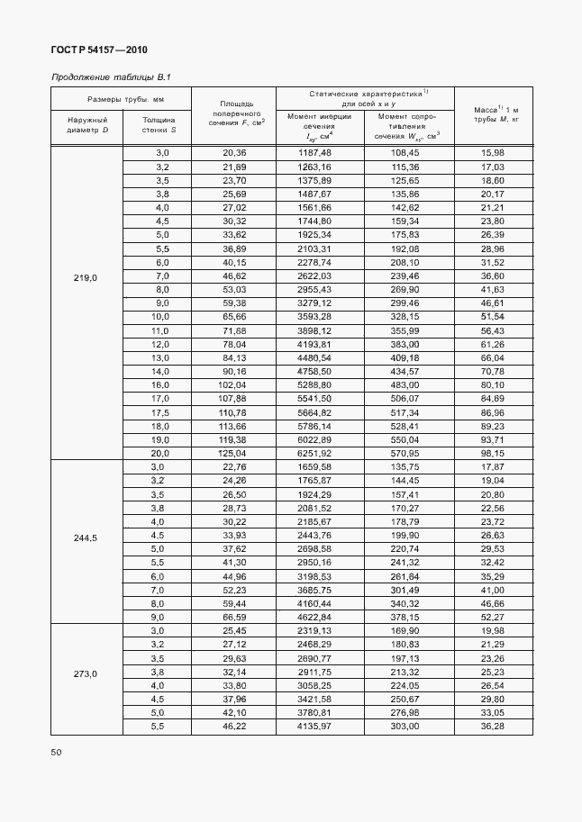
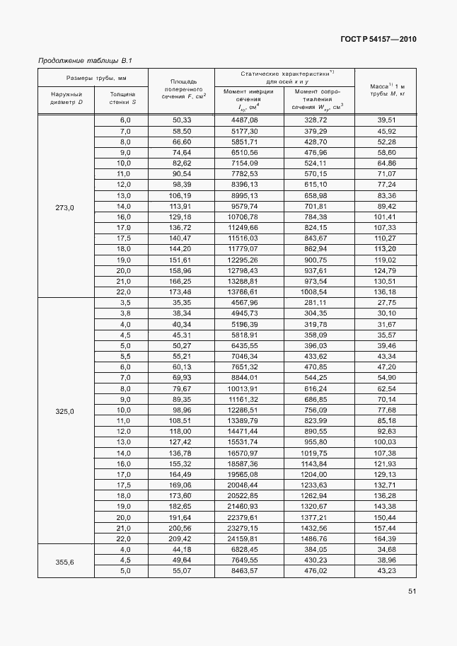
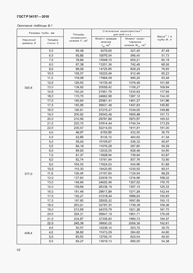
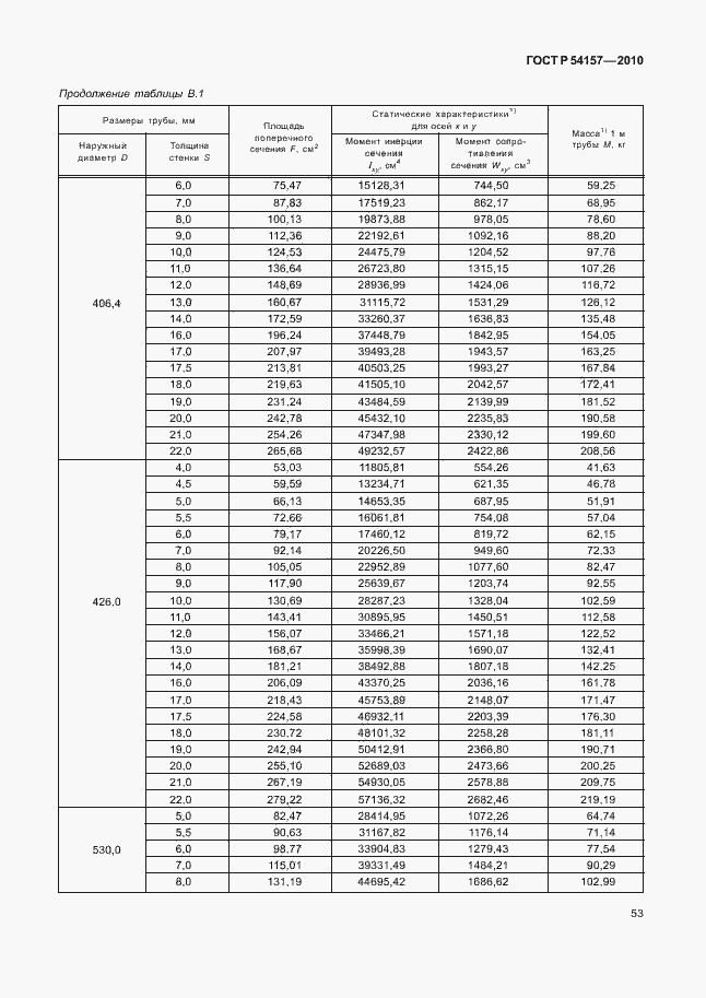
Настоящий стандарт распространяется на круглые, квадратные, прямоугольные, овальные и плоскоовальные трубы для металлоконструкций из углеродистой и низколегированной стали
Связи и замены
Заменяющий:
-
Изменения и переиздания
Список изменений:
№0 от (рег. ) «Текстовое изменение; Изменено заглавие»
Описание стандарта
ГОСТ Р 54157-2010 Трубы стальные профильные для металлоконструкций. Технические условия
Страницы стандарта









































































