ГОСТ 17275-71 Сверла спиральные цельные твердосплавные. Средняя серия. Конструкция и размеры
ГОСТ
Скачать ГОСТ в PDF или DOC бесплатно
Основная информация
Обозначение:
ГОСТ 17275-71
Статус:
Действует
Тип:
ГОСТ
Название русское:
Сверла спиральные цельные твердосплавные. Средняя серия. Конструкция и размеры
Название английское:
Solid carbide twist drills. Middle series. Design and dimensions
Даты и сроки
Дата издания:
08-01-03
Дата введения в действие:
01-01-73
Дата завершения срока действия:
-
Применение и описание
Область и условия применения:
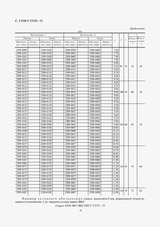
Настоящий стандарт распространяется на спиральные цельные твердосплавные сверла диаметром от 3 до 12 мм, предназначенные для сверления труднообрабатываемых материалов
Связи и замены
Заменяющий:
-
Изменения и переиздания
Список изменений:
№1 от (рег. ) «Срок действия продлен» №2 от (рег. ) «Срок действия продлен»
Описание стандарта
ГОСТ 17275-71 Сверла спиральные цельные твердосплавные. Средняя серия. Конструкция и размеры
Страницы стандарта






