ГОСТ 19543-74 Сверла спиральные с цилиндрическим хвостовиком для обработки легких сплавов. Средняя серия. Конструкция
ГОСТ
Скачать ГОСТ в PDF или DOC бесплатно
Основная информация
Обозначение:
ГОСТ 19543-74
Статус:
Действует
Тип:
ГОСТ
Название русское:
Сверла спиральные с цилиндрическим хвостовиком для обработки легких сплавов. Средняя серия. Конструкция
Название английское:
Twist drills with cylindrical shank for working of light alloys. Middle series. Design
Даты и сроки
Дата издания:
08-01-03
Дата введения в действие:
01-01-76
Дата завершения срока действия:
-
Применение и описание
Область и условия применения:
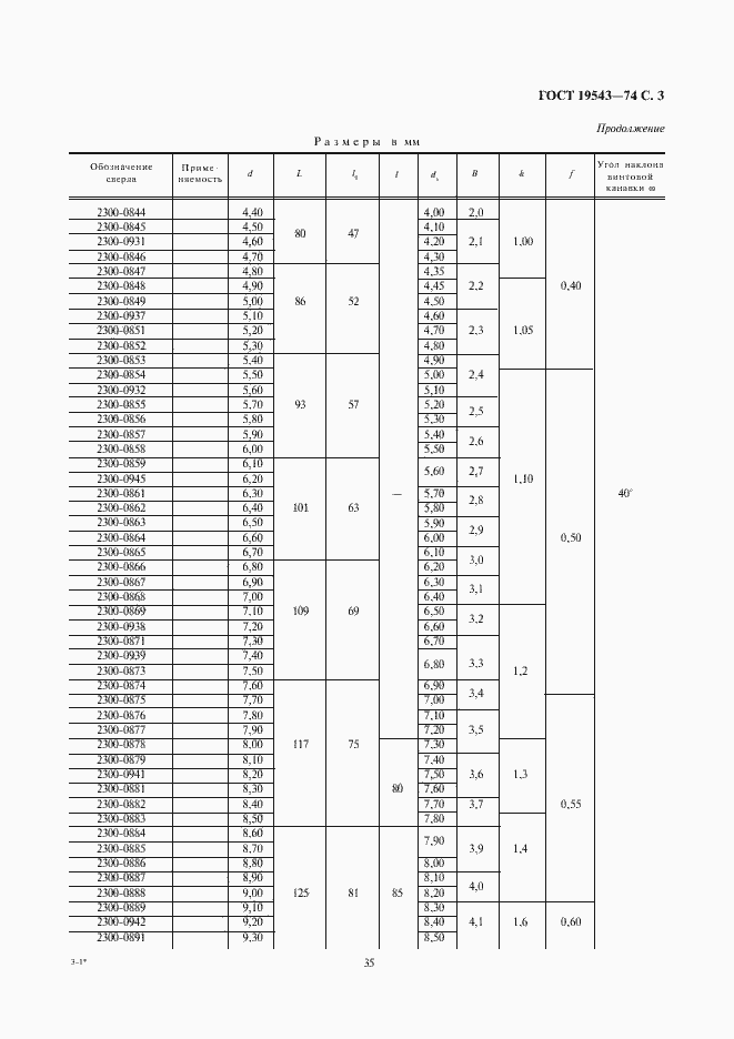
Настоящий стандарт распространяется на спиральные сверла с цилиндрическим хвостовиком диаметром от 1 до 12 мм точности В, предназначенные для сверления отверстий в легких сплавах
Связи и замены
Заменяющий:
-
Взамен:
МН 66-65
Изменения и переиздания
Список изменений:
№1 от (рег. ) «Срок действия продлен» №2 от (рег. ) «Поправка»
Описание стандарта
ГОСТ 19543-74 Сверла спиральные с цилиндрическим хвостовиком для обработки легких сплавов. Средняя серия. Конструкция
Страницы стандарта







