ГОСТ 10903-77 Сверла спиральные с коническим хвостовиком. Основные размеры
ГОСТ
Скачать ГОСТ в PDF или DOC бесплатно
Основная информация
Обозначение:
ГОСТ 10903-77
Статус:
Действует
Тип:
ГОСТ
Название русское:
Сверла спиральные с коническим хвостовиком. Основные размеры
Название английское:
Twist drills with taper shanks. Basic dimensions
Даты и сроки
Дата издания:
07-01-03
Дата введения в действие:
01-01-79
Дата завершения срока действия:
-
Применение и описание
Область и условия применения:
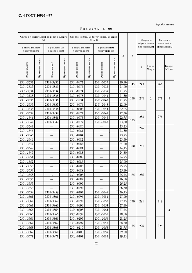
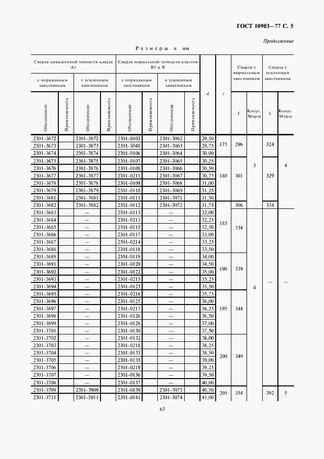
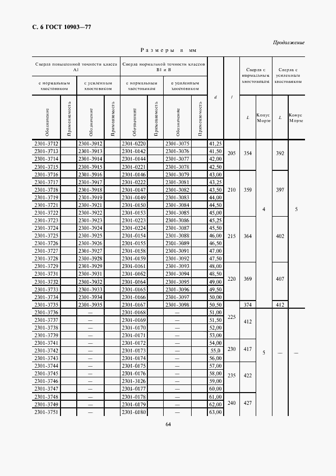
Настоящий стандарт распространяется на спиральные сверла с коническим хвостовиком диаметром от 5 до 80 мм
Связи и замены
Заменяющий:
-
Взамен:
ГОСТ 10903-64;МН 5808-65
Изменения и переиздания
Список изменений:
№1 от (рег. ) «Срок действия продлен» №2 от (рег. ) «Срок действия продлен»
Описание стандарта
ГОСТ 10903-77 Сверла спиральные с коническим хвостовиком. Основные размеры
Страницы стандарта








