ГОСТ Р 70115-2022 Сверла спиральные сверхдлинные с цилиндрическим хвостовиком. Основные размеры
ГОСТ Р
Скачать ГОСТ в PDF или DOC бесплатно
Основная информация
Обозначение:
ГОСТ Р 70115-2022
Статус:
Действует
Тип:
ГОСТ Р
Название русское:
Сверла спиральные сверхдлинные с цилиндрическим хвостовиком. Основные размеры
Название английское:
Extra-long twist drills with straight shank. Basic dimensions
Даты и сроки
Дата издания:
06-02-22
Дата введения в действие:
07-01-23
Дата завершения срока действия:
-
Применение и описание
Область и условия применения:
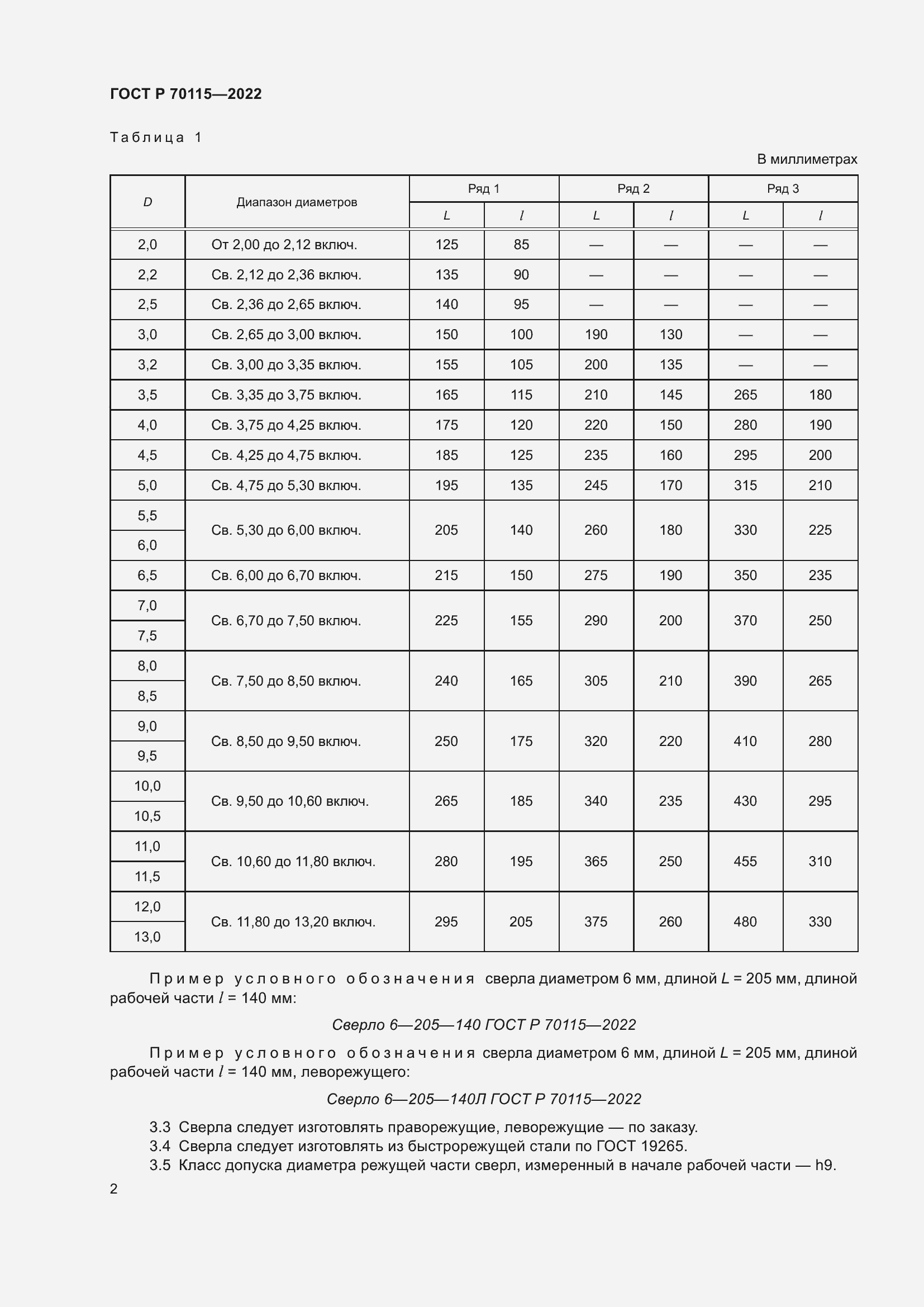
Настоящий стандарт распространяется на спиральные сверла сверхдлинные из быстрорежущей стали диаметрами от 2 до 13 мм, общей длиной от 125 до 480 мм, предназначенные для сверления глубоких отверстий в деталях из углеродистых, легированных, конструкционных сталей и чугуна
Связи и замены
Заменяющий:
-
Описание стандарта
ГОСТ Р 70115-2022 Сверла спиральные сверхдлинные с цилиндрическим хвостовиком. Основные размеры
Страницы стандарта







