ГОСТ 10242-81 Основные нормы взаимозаменяемости. Передачи зубчатые реечные. Допуски
ГОСТ
Скачать ГОСТ в PDF или DOC бесплатно
Основная информация
Обозначение:
ГОСТ 10242-81
Статус:
Действует
Тип:
ГОСТ
Название русское:
Основные нормы взаимозаменяемости. Передачи зубчатые реечные. Допуски
Название английское:
Basic norms of interchangeability. Rack-and-pinion gear pairs. Tolerances
Даты и сроки
Дата издания:
02-01-90
Дата введения в действие:
01-01-82
Дата завершения срока действия:
-
Применение и описание
Область и условия применения:
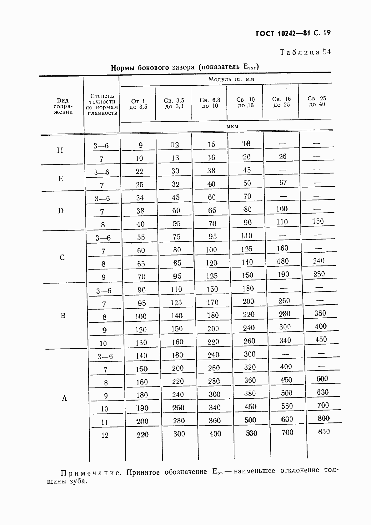
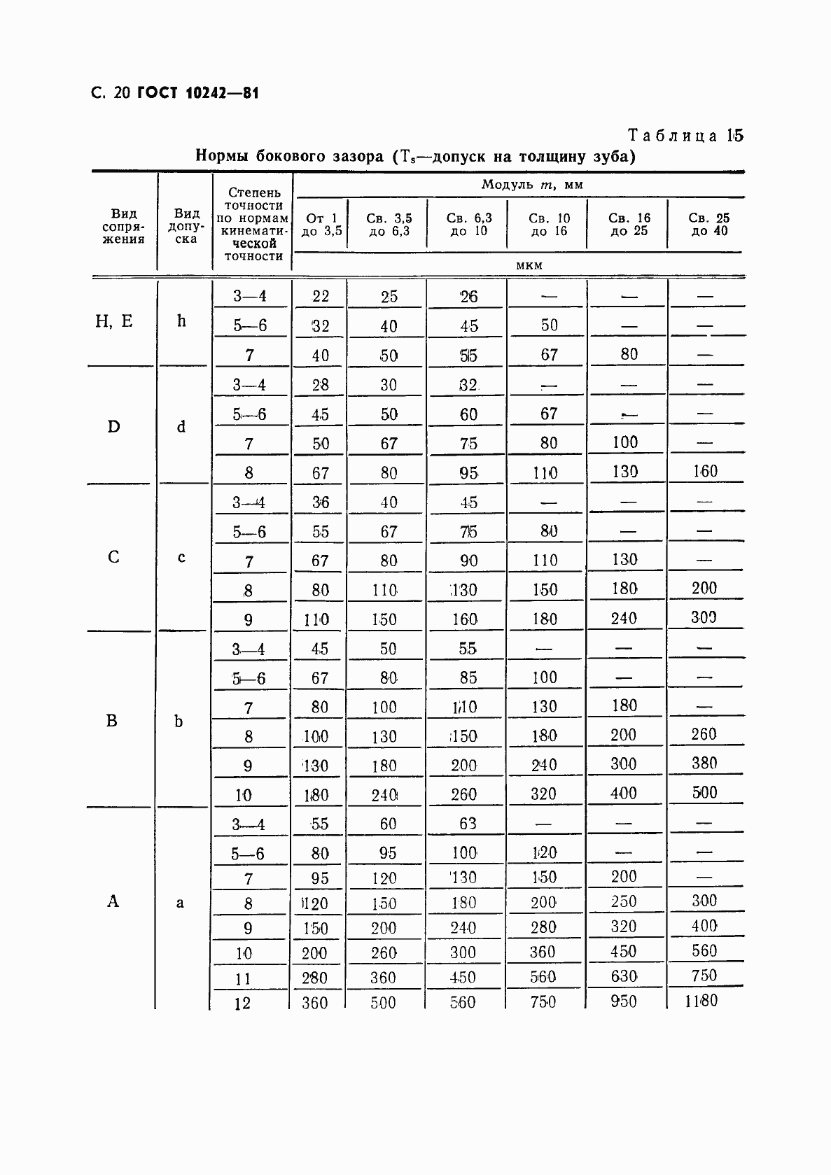
Настоящий стандарт распространяется на зубчатые рейки и зубчатые реечные передачи, состоящие из цилиндрического прямозубого или косозубого зубчатого колеса и рейки с исходным контуром по ГОСТ 13755-81 с модулем зубьев от 1 до 40 мм, с рабочей шириной рейки до 630 мм с точностью зубчатого колеса по ГОСТ 1643-81
Связи и замены
Заменяющий:
-
Взамен:
ГОСТ 10242-73
Описание стандарта
ГОСТ 10242-81 Основные нормы взаимозаменяемости. Передачи зубчатые реечные. Допуски
Страницы стандарта






























