ГОСТ 32591-2013 Фитинги из меди и медных сплавов для соединения медных труб способом прессования. Технические условия
ГОСТ
Скачать ГОСТ в PDF или DOC бесплатно
Основная информация
Обозначение:
ГОСТ 32591-2013
Статус:
Действует
Тип:
ГОСТ
Название русское:
Фитинги из меди и медных сплавов для соединения медных труб способом прессования. Технические условия
Название английское:
Fittings of copper and copper alloys with compression ends for use with copper tubes. Specifications
Даты и сроки
Дата регистрации:
12-27-13
Дата издания:
09-01-14
Дата введения в действие:
01-01-15
Дата завершения срока действия:
-
Применение и описание
Область и условия применения:
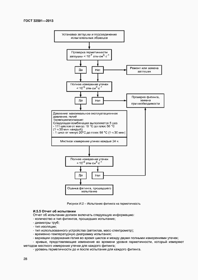
Настоящий стандарт распространяется на фитинги из меди и медных сплавов, предназначенные для соединения способом прессования медных труб и устанавливает требования к пресс соединениям, используемым при монтаже трубопроводов в системах питьевого водоснабжения, холодного и горячего водоснабжения, водяного (парового) отопления, нагревательных и охлаждающих системах, канализации, водоочистных сооружений и газоснабжения. Стандарт устанавливает допустимые эксплуатационные температуры, максимальное эксплуатационное давление, сортамент, технические требования, правила приемки, методы контроля и испытаний, маркировку и упаковку фитингов
Связи и замены
Заменяющий:
-
Описание стандарта
ГОСТ 32591-2013 Фитинги из меди и медных сплавов для соединения медных труб способом прессования. Технические условия
Страницы стандарта









































