ГОСТ 18793-80 Пружины сжатия. Конструкция и размеры
ГОСТ
Скачать ГОСТ в PDF или DOC бесплатно
Основная информация
Обозначение:
ГОСТ 18793-80
Статус:
Действует
Тип:
ГОСТ
Название русское:
Пружины сжатия. Конструкция и размеры
Название английское:
Compression springs. Design and dimensions
Даты и сроки
Дата издания:
12-01-86
Дата введения в действие:
01-01-82
Дата завершения срока действия:
-
Применение и описание
Область и условия применения:
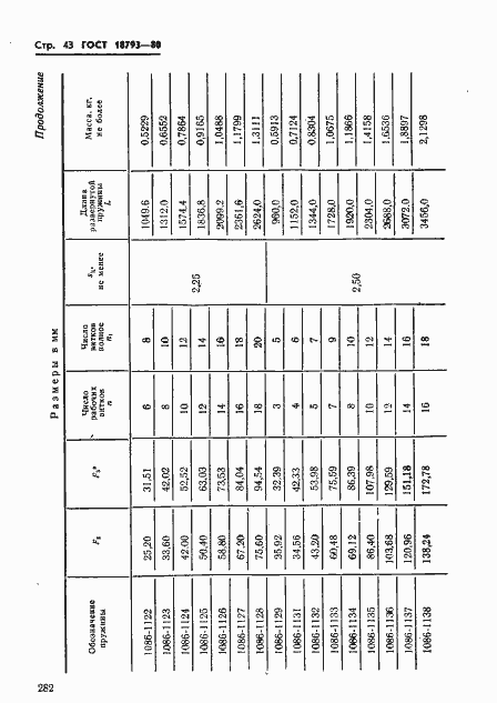
Настоящий стандарт распространяется на штампы листовой штамповки и устанавливает конструкцию и размеры пружин сжатия
Связи и замены
Заменяющий:
-
Взамен:
ГОСТ 18793-73
Описание стандарта
ГОСТ 18793-80 Пружины сжатия. Конструкция и размеры
Страницы стандарта














































































