ГОСТ 13114-75 Плиты-заготовки без полок для штампов листовой штамповки. Конструкция и размеры
ГОСТ
Скачать ГОСТ в PDF или DOC бесплатно
Основная информация
Обозначение:
ГОСТ 13114-75
Статус:
Действует
Тип:
ГОСТ
Название русское:
Плиты-заготовки без полок для штампов листовой штамповки. Конструкция и размеры
Название английское:
Die plate without shelves for cold plastic working dies. Construction and dimensions
Даты и сроки
Дата издания:
03-01-86
Дата введения в действие:
01-01-77
Дата завершения срока действия:
-
Применение и описание
Область и условия применения:
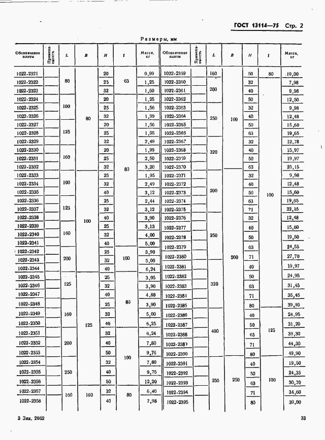
Настоящий стандарт устанавливает конструкцию и размеры плит без полок для штампов листовой штамповки
Связи и замены
Заменяющий:
-
Взамен:
ГОСТ 13114-67
Изменения и переиздания
Список изменений:
№1 от (рег. ) «Срок действия продлен» №2 от (рег. ) «Срок действия продлен»
Описание стандарта
ГОСТ 13114-75 Плиты-заготовки без полок для штампов листовой штамповки. Конструкция и размеры
Страницы стандарта



