ГОСТ 30245-2003 Профили стальные гнутые замкнутые сварные квадратные и прямоугольные для строительных конструкций. Технические условия
ГОСТ
Скачать ГОСТ в PDF или DOC бесплатно
Основная информация
Обозначение:
ГОСТ 30245-2003
Статус:
Действует
Тип:
ГОСТ
Название русское:
Профили стальные гнутые замкнутые сварные квадратные и прямоугольные для строительных конструкций. Технические условия
Название английское:
Steel bent closed welded square and rectangular section for building constructions. Specifications
Даты и сроки
Дата регистрации:
10-22-03
Дата издания:
04-01-08
Дата введения в действие:
10-01-03
Дата завершения срока действия:
07-01-18
Применение и описание
Область и условия применения:
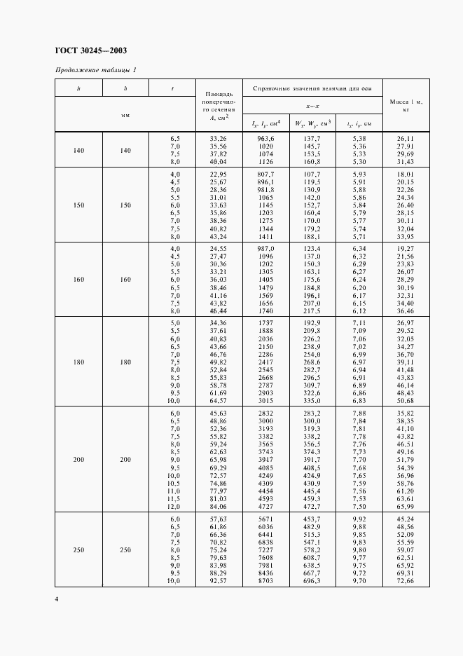
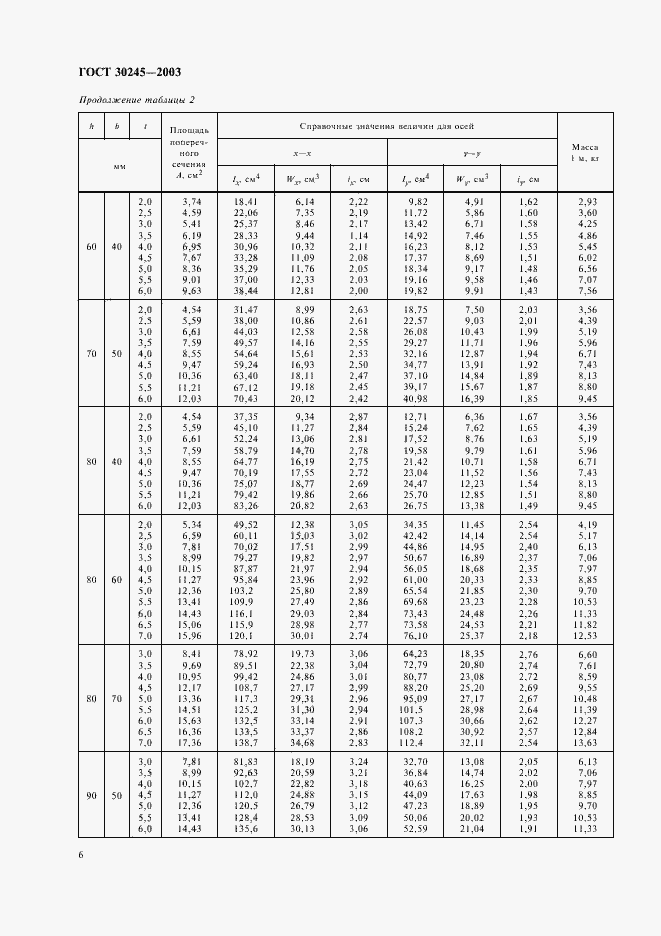
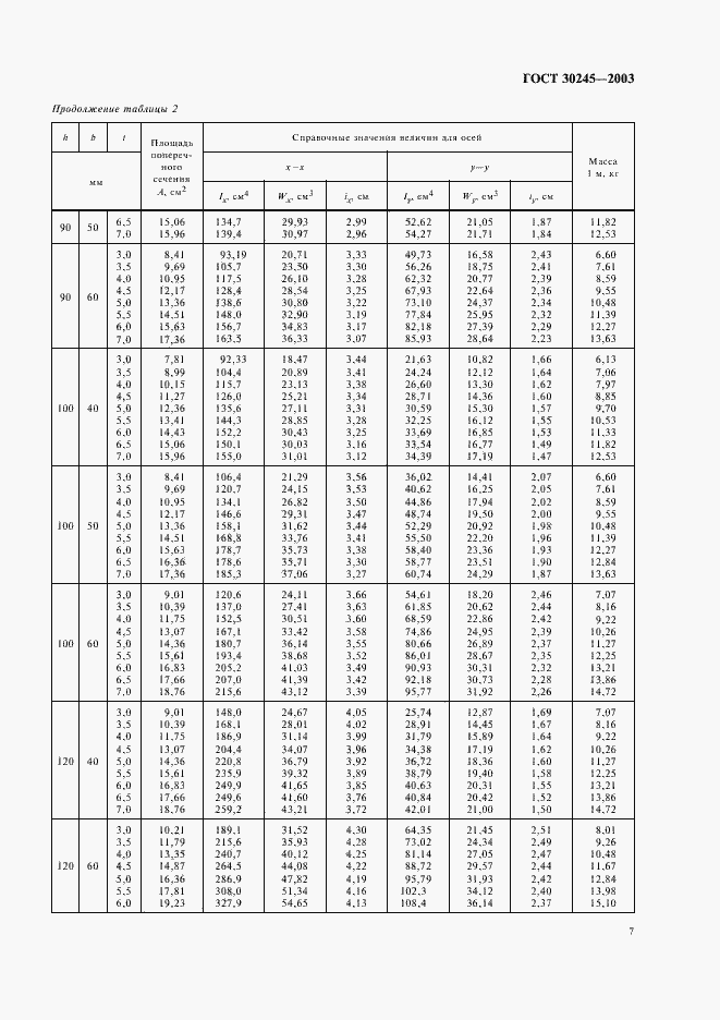
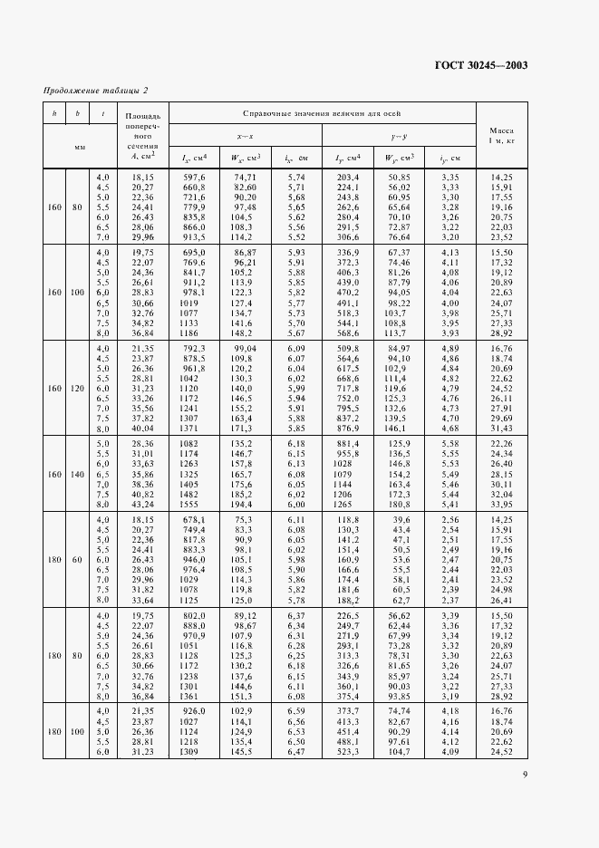
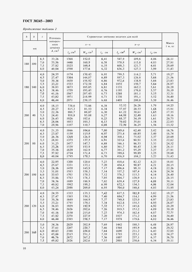
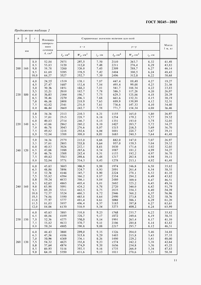
Настоящий стандарт распространяется на стальные гнутые замкнутые сварные квадратные и прямоугольные профили, предназначенные для строительных стальных конструкций. Профили изготовляют на специализированных станах путем формирования круглого трубчатого сечения с продольным сварным швом и последующим обжатием валками в квадратный или прямоугольный профиль
Связи и замены
Заменяющий:
ГОСТ 30245-2012
Взамен:
ГОСТ 30245-94
Изменения и переиздания
Список изменений:
№0 от (рег. ) «Отменен» №0 от (рег. ) «Отменен» №0 от (рег. ) «Отменен» №0 от (рег. ) «Отменен»
Описание стандарта
ГОСТ 30245-2003 Профили стальные гнутые замкнутые сварные квадратные и прямоугольные для строительных конструкций. Технические условия
Страницы стандарта




















Приложение №5: Поправка к ГОСТ 30245-2003 Обозначение: Поправка к ГОСТ 30245-2003 Дата введения в действие: 28.05.2021
